Skip to main content

Recombinant Human ACE-2 Protein, CF

R&D Systems, part of Bio-Techne | Catalog # 933-ZN

Analyzed by SEC-MALS
R&D Systems, part of Bio-Techne
Catalog #
Availability
Size / Price
Qty
Loading...
933-ZN-010
933-ZN-100

Key Product Details

  • R&D Systems NS0-derived Recombinant Human ACE-2 Protein (933-ZN)
  • Quality control testing to verify active proteins with lot specific assays by in-house scientists
  • All R&D Systems proteins are covered with a 100% guarantee

Source

NS0

Accession #

Structure / Form

Recombinant Human ACE‑2 is prone to proteolytic cleavage at C-terminus. 

Conjugate

Unconjugated

Applications

Bioactivity, Enzyme Activity

Product Specifications

Source

Mouse myeloma cell line, NS0-derived human ACE-2 protein
Gln18-Ser740, with a C-terminal 10-His tag

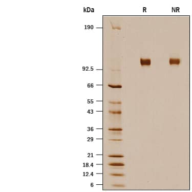
Purity

>90%, by SDS-PAGE under reducing conditions and visualized by silver stain.

Endotoxin Level

<1.0 EU per 1 μg of the protein by the LAL method.

N-terminal Sequence Analysis

No results obtained: Gln18 predicted

Predicted Molecular Mass

85 kDa

SDS-PAGE

101-111 kDa, reducing conditions

Activity

Measured by its binding ability in a functional ELISA.
When Recombinant SARS-CoV-2 Spike RBD Fc Chimera (Catalog # 10499-CV) is immobilized at 0.2 µg/mL (100 µL/well), Recombinant Human ACE-2 (Catalog # 933-ZN) binds with an ED50 of 1.00-12.0 ng/mL.

Measured by its ability to cleave a fluorogenic peptide substrate, Mca-YVADAPK(Dnp)-OH (Catalog # ES007).
The specific activity is >800 pmol/min/µg, as measured under the described conditions.

Reviewed Applications

Read 5 reviews rated 5 using 933-ZN in the following applications:

Scientific Data Images for Recombinant Human ACE-2 Protein, CF

Recombinant Human ACE‑2 Protein SEC-MALS.

Recombinant Human ACE-2/His (Catalog # 933-ZN) has a molecular weight (MW) of 189.9 kDa as analyzed by SEC-MALS, suggesting that this protein is a homodimer.  MW may differ from predicted MW due to post-translational modifications (PTMs) present (i.e. Glycosylation).
ELISA data showing recombinant human ACE-2 binding to SARS-CoV-2 Spike RBD Protein

Multiple Lots of Recombinant Human ACE-2 bind SARS-CoV-2 Spike RBD Protein

Four independent lots of recombinant Human ACE-2 His-tag 933-ZN were tested in a functional ELISA for binding to recombinant SARS-CoV-2 Spike RBD Fc Chimera Protein 10499-CV. All four lots were plotted on the same graph to show lot-to-lot consistency of recombinant Human ACE-2. The ED50 for this effect is 1.00-12.0 ng/mL.
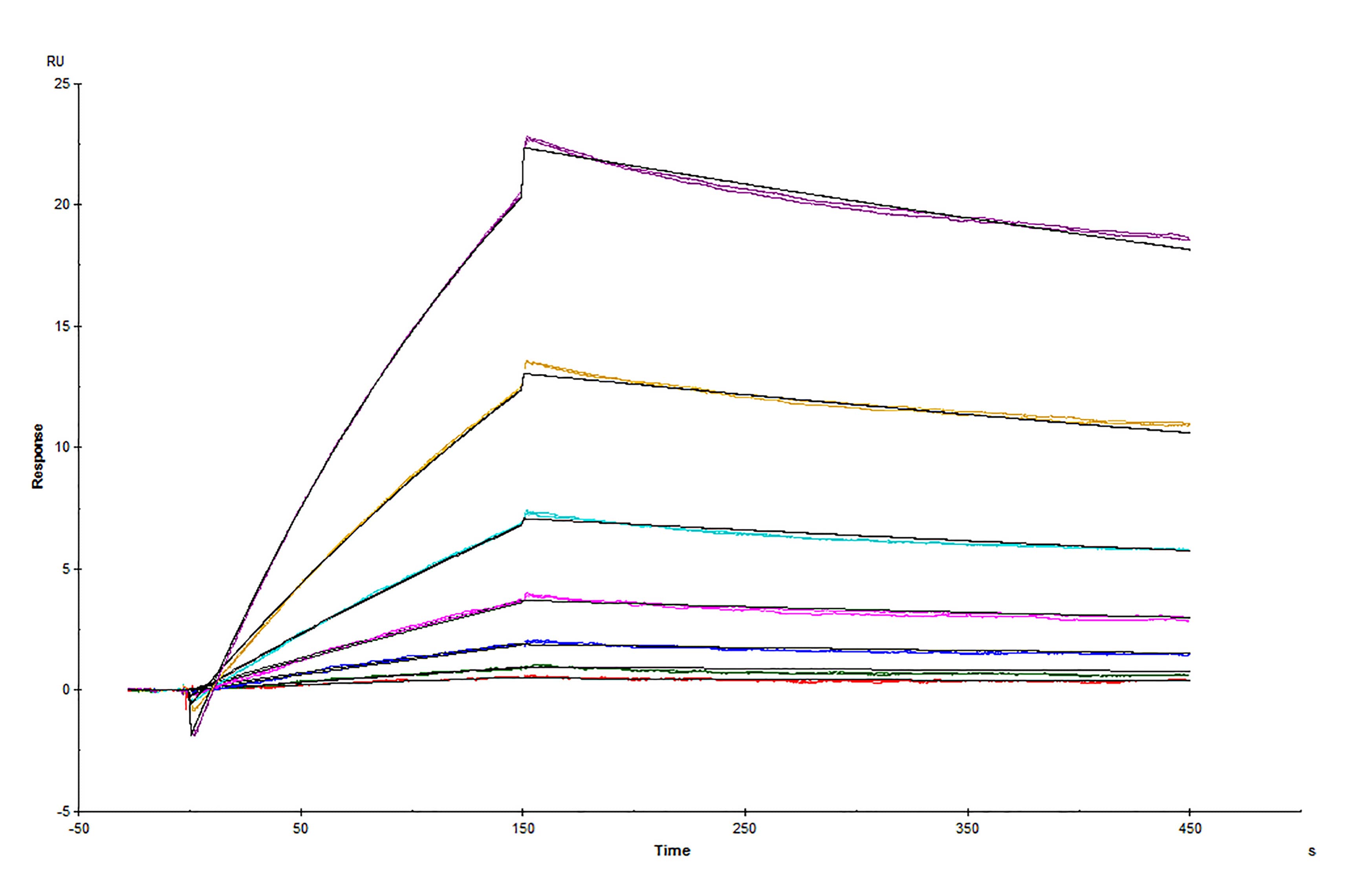
SPR Sensorgram of Human ACE-2 binding to SARS-CoV-2 Spike RBD protein

SPR Data of Recombinant Human ACE-2 binding to SARS-CoV-2 Spike RBD protein

Recombinant SARS-CoV-2 Spike RBD Fc Chimera Protein (10499-CV) was immobilized on a Biacore Sensor Chip CM5, and binding to recombinant human ACE-2 (933-ZN) was measured at a concentration range between 0.73 nM and 46.7 nM. The double-referenced sensorgram was fit to a 1:1 binding model to determine the binding kinetics and affinity, with an affinity constant of Kd=7.037 nM. (Biacore T200).

Formulation, Preparation and Storage

933-ZN
Formulation Supplied as a 0.2 μm filtered solution in Tris, NaCl, ZnCl2 and Glycerol.
Shipping The product is shipped with polar packs. Upon receipt, store it immediately at the temperature recommended below.
Stability & Storage Use a manual defrost freezer and avoid repeated freeze-thaw cycles.
  • 6 months from date of receipt, -20 to -70 °C as supplied.
  • 3 months, -20 to -70 °C under sterile conditions after opening.

Background: ACE-2

Angiotensin I Converting Enzyme (ACE-2), also called ACEH (ACE homologue), is a dimeric, zinc-dependent metalloprotease of the ACE family that also includes somatic and germinal ACE (1, 2). ACE-2 mRNA is found at high levels in heart, testis, and kidney and at lower levels in a wide variety of tissues (1, 3). ACE-2 is the SARS-CoV and SARS-CoV2 Spike protein receptor in vivo (4-6), functions catalytically as a carboxypeptidase to cleave several substrates including angiotensins I and II, and acts as a partner for B0AT1-family amino acid transporters (1, 2). Through these functions, ACE-2 has been shown to be involved in several diseases including SARS, COVID19, acute lung injury (4, 7), heart disease (8), liver and lung fibrosis (9), inflammatory lung disease (10), and cardiopulmonary disease (11). Full length ACE-2 protein includes an extracellular region composed of a single N-terminal peptidase domain and C-terminal collectrin-like domain (CLD), a transmembrane domain, and a short cytoplasmic tail (12). The N-terminal peptidase region is required for binding to SARS-CoV and SARSCoV2 spike proteins, while the CLD contains a region that promotes dimerization and association with amino acid transporters (2). The peptidase domain contains a long deep cleft that undergoes a large hinge-bending movement at substrate and inhibitor binding (12).  Classical ACE inhibitors such as captopril and lisinopril do not inhibit ACE-2 activity and inhibitors of ACE-2 do not inhibit ACE activity (13).

References

  1. Kuba, K. et al. (2010) Pharmacol. Ther. 128:119.
  2. Yan, et al. (2020) Science 367:1444.
  3. Tipnis, S.R. et al. (2000) J. Biol. Chem. 275:33238.
  4. Kuba, K. et al. (2005) Nature Med. 11:875.
  5. Hoffmann, M. et al. (2020) Cell.181:1.
  6. Wrapp, et al. (2020) Science 367:1260.
  7. Imai, Y. et al. (2005) Nature 436:112.
  8. Huang, L. et al. (2003) J. Biol. Chem. 278:15532.
  9. Schrom, E. et al. (2017) Mol. Therapy Nuc. Acid 7:350.
  10. Jia, H. et al. (2016) Shock. 46:239.
  11. Cole-Jeffrey, C.T. et al. (2015) J. Cadiovasc. Pharmacol. 66:540.
  12. Towler, P. et al. (2004) J. Biol. Chem. 279:17996.
  13. Crackower, M.A. et al. (2002) Nature 417:822.

Long Name

Angiotensin I Converting Enzyme 2

Alternate Names

ACE2, ACEH

Entrez Gene IDs

59272 (Human); 70008 (Mouse); 302668 (Rat); 100144303 (Porcine); 480847 (Canine); 418623 (Chicken); 102130864 (Cynomolgus Monkey); 554349 (Feline); 101673097 (Ferret); 101823817 (Hamster); 108390919 (Malayan Pangolin)

Gene Symbol

ACE2

UniProt

Additional ACE-2 Products

Product Documents for Recombinant Human ACE-2 Protein, CF

Certificate of Analysis

To download a Certificate of Analysis, please enter a lot number in the search box below.

Note: Certificate of Analysis not available for kit components.

Product Specific Notices for Recombinant Human ACE-2 Protein, CF

For research use only

Loading...
Loading...