Skip to main content

Recombinant Human B7-1/CD80 Fc Chimera Protein, CF Best Seller

R&D Systems, part of Bio-Techne | Catalog # 10133-B1

R&D Systems, part of Bio-Techne
Catalog #
Availability
Size / Price
Qty
Loading...
10133-B1-01M
10133-B1-100

Key Product Details

  • R&D Systems CHO-derived Recombinant Human B7-1/CD80 Fc Chimera Protein (10133-B1)
  • Quality control testing to verify active proteins with lot specific assays by in-house scientists
  • All R&D Systems proteins are covered with a 100% guarantee

Source

CHO

Accession #

Structure / Form

Disulfide-linked homodimer

Conjugate

Unconjugated

Applications

Bioactivity

Product Specifications

Source

Chinese Hamster Ovary cell line, CHO-derived human B7-1/CD80 protein
Human B7-1/CD80
(Val35-Asn242)
Accession # P33681
IEGRMD Human IgG1
(Pro100-Lys330)
N-terminus C-terminus

Purity

>95%, by SDS-PAGE under reducing conditions and visualized by silver stain.

Endotoxin Level

<0.10 EU per 1 μg of the protein by the LAL method.

N-terminal Sequence Analysis

Val35

Predicted Molecular Mass

50.5 kDa

SDS-PAGE

66-80 kDa, under reducing conditions

Activity

Measured by its ability to induce IL-2 secretion by Jurkat human acute T cell leukemia cells. Freeman, G.J. et al. (1993) Science 262:909.
The ED50 for this effect is 0.025‑0.15 µg/mL in the presence of PHA.

Scientific Data Images for Recombinant Human B7-1/CD80 Fc Chimera Protein, CF

Recombinant Human B7-1/CD80 Fc Chimera Protein Bioactivity

Recombinant Human B7-1/CD80 Fc Chimera Protein Bioactivity

Recombinant Human B7‑1/CD80 Fc Chimera (Catalog # 10133-B1) induces IL-2 secretion by Jurkat human acute T cell leukemia cells in the presence of PHA. The ED50 for this effect is 0.025-0.15 μg/mL.
Recombinant Human B7-1/CD80 Fc Chimera Protein SDS-PAGE

Recombinant Human B7-1/CD80 Fc Chimera Protein SDS-PAGE

2 μg/lane of Recombinant Human B7‑1/CD80 Fc Chimera (Catalog # 10133-B1) was resolved with SDS-PAGE under reducing (R) and non-reducing (NR) conditions and visualized by Coomassie® Blue staining, showing bands at 66-80 kDa and 130-160 kDa, respectively.
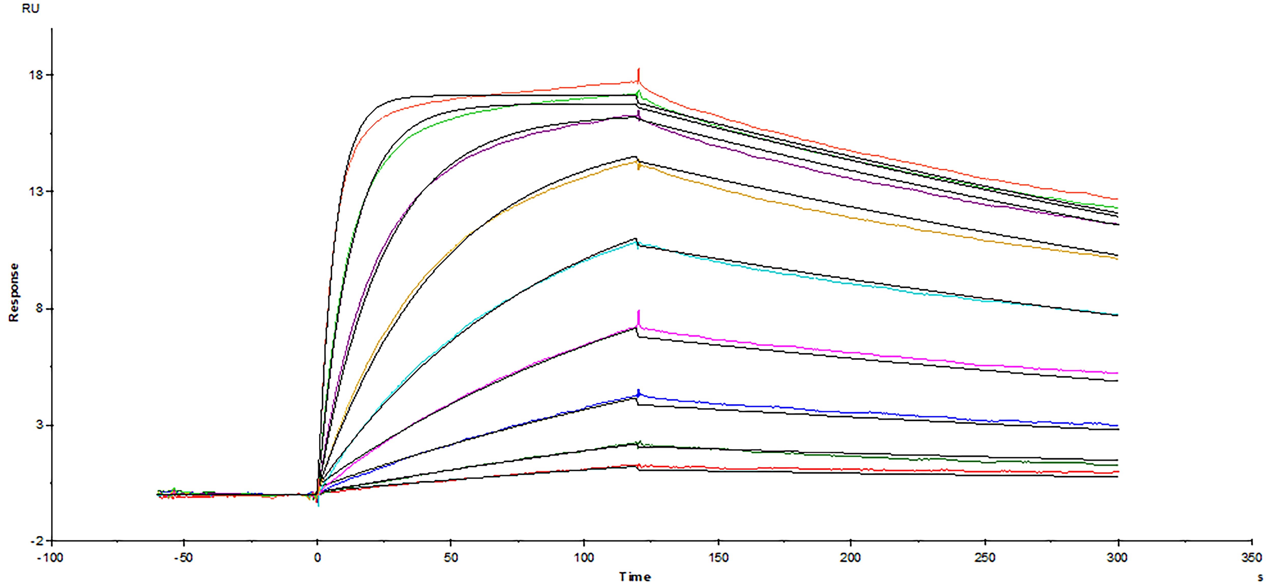
Surface plasmon resonance sensorgram of Avi-tag biotinylated human CTLA-4 protein binding to human B7-1/CD80

Binding of Human B7-1/CD80 to CTLA-4 Fc Avi-tag Protein by surface plasmon resonance (SPR).

Avi-tag Biotinylated Recombinant Human CTLA-4 Fc protein (AVI7268) was immobilized on a Biacore Sensor Chip CM5 via the Avi-tag biotin, and binding to Recombinant Human B7-1/CD80 Fc protein (Catalog # 10133-B1) was measured at a concentration range between 82 pM and 21 nM. The double-referenced sensorgram was fit to a 1:1 binding model to determine the binding kinetics and affinity, with an affinity constant of KD=0.2511 nM.

Formulation, Preparation and Storage

10133-B1
Formulation Lyophilized from a 0.2 μm filtered solution in PBS with Trehalose.
Reconstitution Reconstitute at 500 μg/mL in PBS.
Shipping The product is shipped at ambient temperature. Upon receipt, store it immediately at the temperature recommended below.
Stability & Storage Use a manual defrost freezer and avoid repeated freeze-thaw cycles.
  • 12 months from date of receipt, -20 to -70 °C as supplied.
  • 1 month, 2 to 8 °C under sterile conditions after reconstitution.
  • 3 months, -20 to -70 °C under sterile conditions after reconstitution.

Background: B7-1/CD80

B7-1/CD80 and B7-2/CD86, together with their receptors CD28 and CTLA-4, constitute one of the dominant co-stimulatory pathways that regulate T- and B-cell responses (1). Although both CTLA-4 and CD28 can bind to the same ligands, CTLA-4 binds to B7-1 and B7-2 with a 20-100 fold higher affinity than CD28 and is involved in the down-regulation of the immune response (2-6). Mature human B7-1 consists of a 208 amino acid (aa) extracellular domain (ECD) with two immunoglobulin-like domains, a 21 aa transmembrane domain, and a 25 aa cytoplasmic domain (7). Within the ECD, human B7-1 shares 50% aa sequence identity with mouse B7-1. Alternative splicing generates a 30 kDa soluble isoform that lacks the transmembrane segment and retains the ability to bind CD28 and CTLA-4 and an isoform that lacks the second Ig-like domain and the transmembrane segment (8). Both human and mouse B7-1 and B7-2 can bind to either human or mouse CD28 and CTLA-4 (1). B7-1 is expressed on activated B cells, activated T cells, and macrophages. B7-2 is constitutively expressed on interdigitating dendritic cells, Langerhans cells, peripheral blood dendritic cells, memory B cells, and germinal center B cells (2).

References

  1. Ville, S. et al. (2015) Front. Immunol. 6:411.
  2. Azuma, M. et al. (1993) Nature 366:76.
  3. Freeman, G.J. et al. (1993) Science 262:909.
  4. Chen, C. et al. (1994) J. Immunol. 152:4929.
  5. Freeman, G.J. et al. (1993) J. Exp. Med. 178:2185
  6. Lanier, L. et al. (1995) J. Immunol. 154:97.
  7. Freeman, G.J. et al. (1989) J. Immunol. 143:2714.
  8. Kakoulidou, M. et al. (2007) Scand. J. Immunol. 66:529.

Alternate Names

B71, CD80

Entrez Gene IDs

941 (Human); 12519 (Mouse); 25408 (Rat); 102140078 (Cynomolgus Monkey)

Gene Symbol

CD80

UniProt

Additional B7-1/CD80 Products

Product Documents for Recombinant Human B7-1/CD80 Fc Chimera Protein, CF

Certificate of Analysis

To download a Certificate of Analysis, please enter a lot number in the search box below.

Note: Certificate of Analysis not available for kit components.

Product Specific Notices for Recombinant Human B7-1/CD80 Fc Chimera Protein, CF

For research use only

Loading...
Loading...
Loading...