14 results for "SIK3" in Products
SIK3 Products
| Reactivity: | Human, Mouse |
| Details: | Rabbit IgG Polyclonal |
| Applications: | IHC, WB, ICC/IF |
| Reactivity: | Human |
| Details: | Rabbit IgG Polyclonal |
| Applications: | IHC, ICC/IF |
| Reactivity: | Human, Mouse, Rat |
| Details: | Chicken IgY Polyclonal |
| Applications: | WB, ELISA, ICC/IF |
| Reactivity: | Human, Mouse |
| Details: | Rabbit IgG Polyclonal |
| Applications: | WB, IP |
| Reactivity: | Human |
| Details: | Rabbit IgG Polyclonal |
| Applications: | WB |
| Applications: | WB, ELISA, MA, AP |
| Reactivity: | Human |
| Details: | Rabbit Polyclonal |
| Applications: | WB |
| Reactivity: | Human |
| Details: | Rabbit IgG Polyclonal |
| Applications: | IP |
Salt inducible kinase (SIK) inhibitor; also ULK1 and 2 inhibitor
| Chemical Name: | N-[3-[[5-Cyclopropyl-2-[[3-(4-morpholinylmethyl)phenyl]amino]-4-pyrimidinyl]amino]propyl]cyclobutanecarboxamide dihydrochloride |
| Purity: | ≥98% (HPLC) |
Potent and selective Lck and Src inhibitor; also inhibits SIK
| Alternate Names: | KIN112 |
| Chemical Name: | 2,6-Dimethylphenyl-N-(2,4-dimethoxyphenyl)-N-[2-[[4-(4-methyl-1-piperazinyl)phenyl]amino]-4-pyrimidinyl]carbamate |
| Purity: | ≥98% (HPLC) |
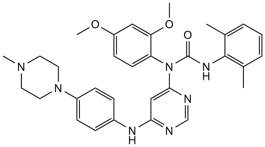
Potent pan-salt inducible kinases (SIK1, SIK2 and SIK3) inhibitor. Also inhibits Lat-B-induced EP differentiation via nuclear YAP1 accumulation.
| Alternate Names: | SIK inhibitor 1 |
| Chemical Name: | 1-(2,4-Dimethoxyphenyl)-3-(2,6-dimethylphenyl)-1-(6-((4-(4-methylpiperazin-1-yl)phenyl)amino)pyrimidin-4-yl)urea |
| Purity: | ≥98% (HPLC) |