Janelia Fluor Dyes: Fluorescent Probes and Dyes
34 results for "Janelia Fluor Dyes Fluorescent Probes and Dyes" in Products
34 results for "Janelia Fluor Dyes Fluorescent Probes and Dyes" in Products
Janelia Fluor Dyes: Fluorescent Probes and Dyes
Red photoactivatable dye (Reactive group: NHS ester). Application: super resolution microscopy (SRM), single molecule tracking and live cell imaging
| Chemical Name: | 2,5-Dioxo-1-pyrrolidinyl 3,7-di-1-azetidinyl-2'-diazo-5,5-dimethyl-2',3'-dihydro-5H-3'-oxospiro[dibenzo[b,e]siline-10,1'-indene]-6'-carboxylate |
| Purity: | ≥90% (HPLC) |
Cell-permeable photoactivatable Janelia Fluor® 646 with a chloroalkane handle. Application: live-cell imaging as a self-labeling tag (SLT) substrate
| Chemical Name: | 2',7'-Bis(1-azetidinyl)-2-diazo-N-[2-[2-[(6-chlorohexyl)oxy]ethoxy]ethyl]-2,3-dihydro-9',9'-dimethyl-3-oxospiro[1H-indene-1,10'(9'H)-[9]silaanthracene]-6-carboxamide |
| Purity: | ≥95% (HPLC) |
Cell-permeable photoactivatable Janelia Fluor® 549 with a chloroalkane handle. Application: live-cell imaging as a self-labeling tag (SLT) substrate
| Chemical Name: | 3',6'-Bis(1-azetidinyl)-N-[2-[2-[(6-chlorohexyl)oxy]ethoxy]ethyl]-2-diazo-2,3-dihydro-3-oxospiro[1H-indene-1,9'-[9H]xanthene]-6-carboxamide |
| Purity: | ≥90% (HPLC) |
Red dye (Reactive group: NHS ester). Application: flow cytometry, confocal microscopy, super resolution microscopy (SRM) including dSTORM & STED. Suitable for live cell imaging
| Alternate Names: | JF 646,NHS |
| Applications: | Flow, IHC, ICC |
| Chemical Name: | 1-[7-(1-Azetidinyl)-10-[2-carboxy-5-[[(2,5-dioxo-1-pyrrolidinyl)oxy]carbonyl]phenyl]-9,9-dimethyl-9-silaanthracen-2(9H)-ylidene]azetidinium, inner salt |
| Purity: | ≥95% (HPLC) |
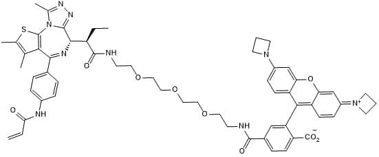
Fluorogenic Janelia Fluor® 635 conjugated covalent ligand for BromoCatch™, enabling no-wash live-cell imaging
| Chemical Name: | 4-(((R)-14-((S)-4-(4-Acrylamidophenyl)-2,3,9-trimethyl-6H-thieno[3,2-f][1,2,4]triazolo[4,3-a][1,4]diazepin-6-yl)-13-oxo-3,6,9-trioxa-12-azahexadecyl)carbamoyl)-2-(3-(3-fluoroazetidin-1-ium-1-ylidene)-7-(3-fluoroazetidin-1-yl)-5,5-dimethyl-3,5-dihydrodibenzo[b,e]silin-10-yl)benzoate |
| Purity: | ≥95% (HPLC) |
Red dye (Reactive group: NHS ester). Application: flow cytometry, confocal microscopy, super resolution microscopy. Suitable for live cell imaging
| Alternate Names: | JF 635,NHS |
| Applications: | IHC, ICC |
| Chemical Name: | 1-[10-[2-Carboxy-5-[[(2,5-dioxo-1-pyrrolidinyl)oxy]carbonyl]phenyl]-9,9-dimethyl-7-[1-(3-fluoroazetidinyl)]-9-silaanthracen-2(9H)-ylidene]-3-fluoroazetidinium, inner salt |
| Purity: | ≥95% (HPLC) |
Yellow dye (Reactive group: NHS ester). Application: flow cytometry, confocal microscopy, super resolution microscopy (SRM) including dSTORM & STED. Suitable for live cell imaging
| Alternate Names: | JF 549,NHS |
| Applications: | Flow, IHC, ICC |
| Chemical Name: | 3,6-Di-1-azetidinyl-9-[2-carboxy-5-[[(2,5-dioxo-1-pyrrolidinyl)oxy]carbonyl]phenyl]xanthylium, inner salt |
Yellow dye (Reactive group: NHS ester). Application: confocal microscopy, super resolution microscopy (SRM) including dSTORM. Suitable for live cell imaging
| Alternate Names: | JF 525,NHS |
| Applications: | IHC, ICC |
| Chemical Name: | 3,6-Di-1-(3,3-difluoroazetidinyl)-9-[2-carboxy-5-[[(2,5-dioxo-1-pyrrolidinyl)oxy]carbonyl]phenyl]xanthylium, inner salt |
Cell-permeable fluorogenic fluorescent dye with a chloroalkane handle. Application: live-cell imaging as a self-labeling tag substrate
| Chemical Name: | 2-(3-(Azetidin-1-ium-1-ylidene)-7-(azetidin-1-yl)-5,5-dimethyl-3,5-dihydrodibenzo[b,e]silin-10-yl)-4-((2-(2-((6-chlorohexyl)oxy)ethoxy)ethyl)carbamoyl)benzoate |
| Purity: | ≥95% (HPLC) |
Far red dye (Reactive group: NHS ester). Application: confocal miocrocopy, super resolution microscopy including dSTORM & STED. Suitable for live cell imaging
| Alternate Names: | JF 669,NHS |
| Applications: | IHC, ICC |
| Chemical Name: | 1-[7-(1-Azetidinyl)-10-[2-Carboxy-5-[(2-(2,5-dioxopyrrolidin-1-yl)oxy)-2-oxoethyl]thio-3,4,6-trifluorophenyl]-9,9-dimethyl-9-silaanthracen-2(9H)-ylidene]azetidinium, inner salt |
| Purity: | ≥90% (HPLC) |
Yellow dye (Reactive group: free acid). Application: flow cytometry, confocal microscopy, super resolution microscopy (SRM) including dSTORM & STED. Suitable for live cell imaging
| Chemical Name: | 3,6-Di-1-azetidinyl-9-(2,5-dicarboxyphenyl)xanthylium, inner salt trifluoroacetate |
| Applications: | Flow, IHC, ICC |
| Purity: | ≥90% (HPLC) |
Fluorogenic yellow dye (Reactive group: NHS ester). Application: confocal microscopy, two-color lattice light-sheet microscopy, super resolution microscopy
| Alternate Names: | JF 526,NHS,JF526 |
| Chemical Name: | 2-(3-(3,3-Difluoroazetidin-1-ium-1-ylidene)-6-(3,3-difluoroazetidin-1-yl)-2,7-difluoro-3H-xanthen-9-yl)-4-(((2,5-dioxopyrrolidin-1-yl)oxy)carbonyl)benzoate |
Blinking fluorescent dye (Reactive group: NHS ester). Application: super resolution microscopy (SRM) including SMLM
| Chemical Name: | 2,5-Dioxopyrrolidin-1-yl 3,7-bis(3-fluoroazetidin-1-yl)-5,5-dimethyl-3'H,5H-spiro[dibenzo[b,e]siline-10,1'-isobenzofuran]-6'-carboxylate |
| Purity: | ≥90% (HPLC) |
Fluorogenic spontaneously blinking yellow-emitting dye (Reactive group: NHS ester). Application: dSTORM, SMLSM, STED, SIM and confocal microscopy
| Alternate Names: | HM-JF526 NHS |
| Chemical Name: | 2,5-Dioxopyrrolidin-1-yl 3',6'-bis(3,3-difluoroazetidin-1-yl)-2',7'-difluoro-3H-spiro[isobenzofuran-1,9'-xanthene]-6-carboxylate |
| Purity: | ≥90% (HPLC) |
Yellow dye (Reactive group: maleimide). Application: flow cytometry, confocal microscopy, super resolution microscopy including dSTORM & STED. Suitable for live cell imaging
| Chemical Name: | 2-(3-(Azetidin-1-ium-1-ylidene)-6-(azetidin-1-yl)-3H-xanthen-9-yl)-4-((2-(2,5-dioxo-2,5-dihydro-1H-pyrrol-1-yl)ethyl)carbamoyl)benzoate trifluoroacetate |
| Applications: | Flow, IHC, ICC |
| Purity: | ≥90% (HPLC) |
Yellow dye (Reactive group: tetrazine). Application: confocal microscopy, super resolution microscopy including dSTORM & STED. Suitable for live cell imaging
| Chemical Name: | 3,6-Di-1-azetidinyl-9-[[4-[(1,2,4,5-tetrazin-3-yl)benzyl]carbamoyl]-2-carboxyphenyl]xanthylium, inner salt |
| Applications: | Flow, IHC, ICC |
Red dye (Reactive group: azide). Application: confocal microscopy, super resolution microscopy (SRM) including dSTORM & STED. Suitable for live cell imaging
| Alternate Names: | JF 646 |
| Applications: | Flow, IHC, ICC |
| Chemical Name: | 2-(3-(Azetidin-1-ium-1-ylidene)-7-(azetidin-1-yl)-5,5-dimethyl-3,5-dihydrodibenzo[b,e]silin-10-yl)-4-((2-(2-(2-(2-azidoethoxy)ethoxy)ethoxy)ethyl)carbamoyl)benzoate |
| Purity: | ≥95% (HPLC) |
Blinking fluorescent dye (Reactive group: NHS ester). Application: super resolution microscopy (SRM) including SMLM
| Chemical Name: | 2,5-Dioxopyrrolidin-1-yl 3,7-di(azetidin-1-yl)-5,5-dimethyl-3'H,5H-spiro[dibenzo[b,e]siline-10,1'-isobenzofuran]-6'-carboxylate |
| Purity: | ≥90% (HPLC) |
Cell-permeable fluorogenic fluorescent dye with a chloroalkane handle. Application: live-cell imaging as a self-labeling tag substrate
| Chemical Name: | 2-(3-(Azetidin-1-ium-1-ylidene)-6-(azetidin-1-yl)-3H-xanthen-9-yl)-4-((2-(2-((6-chlorohexyl)oxy)ethoxy)ethyl)carbamoyl)benzoate |
| Purity: | ≥90% (HPLC) |
Red photoactivatable dye (Reactive group: maleimide). Application: flow cytometry, confocal microscopy, super resolution microscopy including dSTORM & STED. Suitable for live cell imaging
| Chemical Name: | 3,7-Di(azetidin-1-yl)-2'-diazo-N-(2-(2,5-dioxo-2,5-dihydro-1H-pyrrol-1-yl)ethyl)-5,5-dimethyl-3'-oxo-2',3'-dihydro-5H-spiro[dibenzo[b,e]siline-10,1'-indene]-6'-carboxamide |
| Applications: | AdAct |
| Purity: | ≥90% (HPLC) |
Yellow photoactivatable dye (Reactive group: maleimide). Application: flow cytometry, confocal microscopy, super-resolution microscopy including dSTORM & STED. Suitable for live cell imaging
| Chemical Name: | 3',6'-Di(azetidin-1-yl)-2-diazo-N-(2-(2,5-dioxo-2,5-dihydro-1H-pyrrol-1-yl)ethyl)-3-oxo-2,3-dihydrospiro[indene-1,9'-xanthene]-6-carboxamide |
| Applications: | NULL |
| Purity: | ≥90% (HPLC) |
Cell-permeable fluorogenic fluorescent dye with a chloroalkane handle. Application: live-cell imaging as a self-labeling tag (SLT) substrate
| Chemical Name: | 4-((2-(2-((6-Chlorohexyl)oxy)ethoxy)ethyl)carbamoyl)-2-(3-(3-fluoroazetidin-1-ium-1-ylidene)-7-(3-fluoroazetidin-1-yl)-5,5-dimethyl-3,5-dihydrodibenzo[b,e]silin-10-yl)benzoate |
| Purity: | ≥95% (HPLC) |
Blinking fluorescent dye (Reactive group: maleimide). Application: super resolution microscopy (SRM) including SMLM
| Chemical Name: | 3,7-Di(azetidin-1-yl)-N-(2-(2,5-dioxo-2,5-dihydro-1H-pyrrol-1-yl)ethyl)-5,5-dimethyl-3'H,5H-spiro[dibenzo[b,e]siline-10,1'-isobenzofuran]-6'-carboxamide |
| Purity: | ≥90% (HPLC) |
Blinking fluorescent dye (Reactive group: maleimide). Application: super resolution microscopy (SRM) including SMLM
| Chemical Name: | N-(2-(2,5-Dioxo-2,5-dihydro-1H-pyrrol-1-yl)ethyl)-5,5-dimethyl-3,7-bis(3-(methylsulfonyl)azetidin-1-yl)-3'H,5H-spiro[dibenzo[b,e]siline-10,1'-isobenzofuran]-6'-carboxamide |
| Applications: | AdAct |
| Purity: | ≥90% (HPLC) |
Blinking fluorescent dye (Reactive group: NHS ester). Application: super resolution microscopy (SRM) including SMLM
| Chemical Name: | 2,5-Dioxopyrrolidin-1-yl 5,5-dimethyl-3,7-bis(3-(methylsulfonyl)azetidin-1-yl)-3'H,5H-spiro[dibenzo[b,e]siline-10,1'-isobenzofuran]-6'-carboxylate |
| Purity: | ≥90% (HPLC) |