Skip to main content

Recombinant Human CD155/PVR Fc Chimera Protein, CF

R&D Systems, part of Bio-Techne | Catalog # 9174-CD

Analyzed by SEC-MALS
R&D Systems, part of Bio-Techne
Catalog #
Availability
Size / Price
Qty
Loading...
9174-CD-01M
9174-CD-050

Key Product Details

  • R&D Systems HEK293-derived Recombinant Human CD155/PVR Fc Chimera Protein (9174-CD)
  • Quality control testing to verify active proteins with lot specific assays by in-house scientists
  • All R&D Systems proteins are covered with a 100% guarantee

Source

HEK293

Accession #

Structure / Form

Disulfide-linked homodimer

Conjugate

Unconjugated

Applications

Bioactivity

Product Specifications

Source

Human embryonic kidney cell, HEK293-derived human CD155/PVR protein
Human CD155/PVR
(Asp28-Asn343)
Accession # NP_006496
IEGRMD Human IgG1
(Pro100-Lys330)
N-terminus C-terminus

Purity

>95%, by SDS-PAGE visualized with Silver Staining and quantitative densitometry by Coomassie® Blue Staining.

Endotoxin Level

<0.10 EU per 1 μg of the protein by the LAL method.

N-terminal Sequence Analysis

Asp28

Predicted Molecular Mass

61 kDa

SDS-PAGE

81-98 kDa, reducing conditions

Activity

Measured by its binding ability in a functional ELISA.
When Recombinant Human CD155/PVR Fc Chimera is immobilized at 1 μg/mL (100 μL/well), the concentration of Recombinant Human CD96 v2 Fc Chimera (Catalog # 9556-CD) that produces 50% of the optimal binding response is 30-150 ng/mL.

Reviewed Applications

Read 1 review rated 4 using 9174-CD in the following applications:

Scientific Data Images for Recombinant Human CD155/PVR Fc Chimera Protein, CF

Recombinant Human CD155/PVR Fc Chimera Protein SEC-MALS.

Recombinant Human CD155/PVR Fc Chimera (Catalog # 9174-CD) has a molecular weight (MW) of 146.9 kDa as analyzed by SEC-MALS, suggesting that this protein is a homodimer.  MW may differ from predicted MW due to post-translational modifications (PTMs) present (i.e. Glycosylation).
Recombinant Human CD155/PVR Fc Chimera Protein Binding Activity

Recombinant Human CD155/PVR Fc Chimera Protein Binding Activity

When Recombinant Human CD155/PVR Fc Chimera (Catalog # 9174-CD) is immobilized at 1 µg/mL, Recombinant Human CD96 v2 Fc Chimera (9556-CD) binds with an ED50 of 30-150 ng/mL.
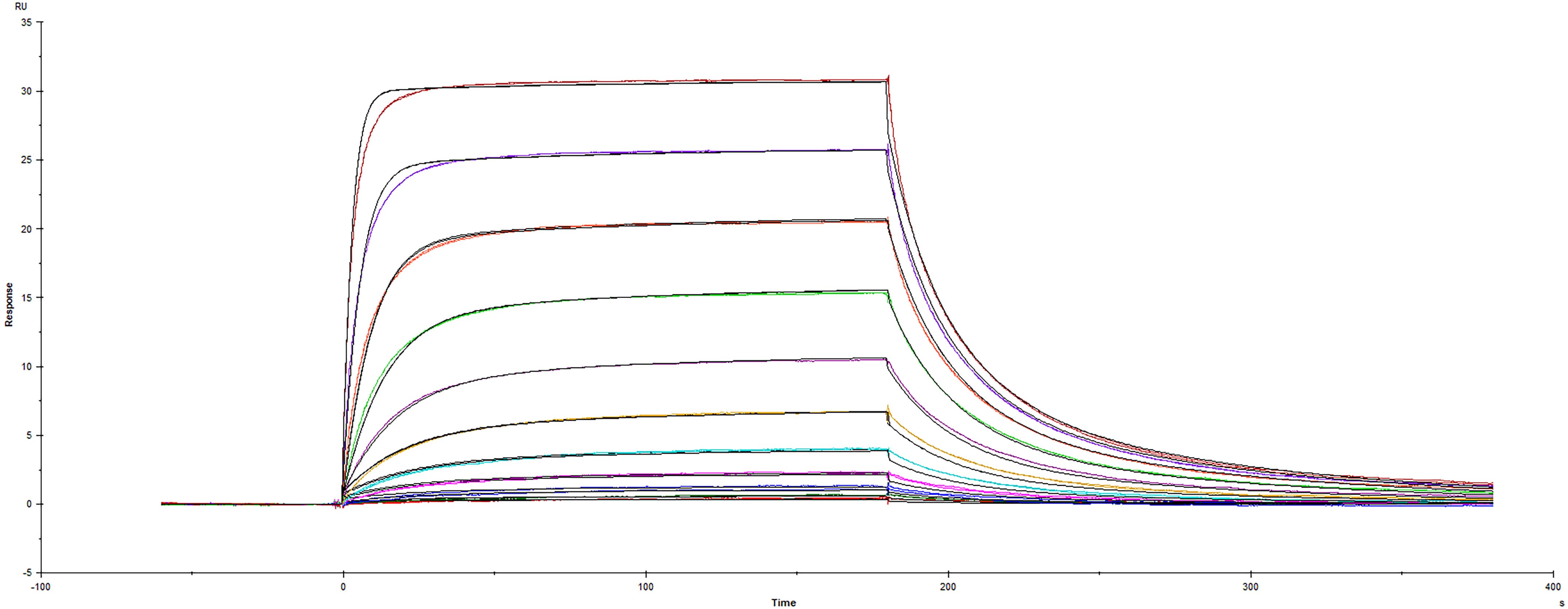
Surface plasmon resonance sensorgram of human CD155/PVR protein binding to human TIGIT

Binding of Human TIGIT to CD155/PVR by surface plasmon resonance (SPR).

Recombinant Human CD155/PVR Fc protein (Catalog # 9174-CD) was immobilized on a Biacore Sensor Chip CM5, and binding to Recombinant Human TIGIT (A103) Fc protein (7898-TGB) was measured at a concentration range between 0.531 nM and 544 nM. The double-referenced sensorgram was fit to a 1:1 binding model to determine the binding kinetics and affinity, with an affinity constant of KD=67.7 nM.

Formulation, Preparation and Storage

9174-CD
Formulation Lyophilized from a 0.2 μm filtered solution in PBS.
Reconstitution
Reconstitute at 500 μg/mL in PBS.

Reconstitution Buffer Available:
Size / Price
Qty
Loading...
Shipping The product is shipped at ambient temperature. Upon receipt, store it immediately at the temperature recommended below.
Stability & Storage Use a manual defrost freezer and avoid repeated freeze-thaw cycles.
  • 12 months from date of receipt, -20 to -70 °C as supplied.
  • 1 month, 2 to 8 °C under sterile conditions after reconstitution.
  • 3 months, -20 to -70 °C under sterile conditions after reconstitution.

Background: CD155/PVR

CD155, also known as PVR (poliovirus receptor), Necl-5 (nectin-like molecule-5) and, in rodents, TAGE4 (tumor-associated glycoprotein E4), is a 70 kDa type I transmembrane glycoprotein in the nectin-related family of adhesion proteins within the immunoglobulin superfamily (1, 2). CD155 binds other molecules including Vitronectin, Nectin-3, DNAM-1/CD226, CD96, and TIGIT but does not bind homotypically (3). Mature human CD155 consists of a 323 amino acid (aa) extracellular domain (ECD) with one N-terminal V-type and two C2-type Ig-like domains, a 24 aa transmembrane segment, and a 50 aa cytoplasmic tail. Within the ECD, human CD155 shares 45% aa sequence identity with mouse and rat CD155, and 52% with human Nectin-2. The V-type domain of CD155 mediates all binding, including to polio virus (1), and alternative splicing within this domain in humans can modulate ligand binding (4). Human CD155 can also be spliced to generate secreted isoforms (5). CD155 is up-regulated on endothelial cells by IFN-gamma and is highly expressed on immature thymocytes, lymph node dendritic cells, and tumor cells of epithelial and neuronal origin (1, 2, 6-9). It is preferentially expressed on Th17 cells compared to Th2 cells (10), and its activation promotes the development of Th1 responses (11). On migrating cells, CD155 is concentrated at the leading edge, where it binds basement membrane Vitronectin, recruits Nectin-3-expressing cells, and cooperates with PDGF and Integrin alphav beta3 to promote cell migration (1, 3, 12). Enhanced CD155 expression in tumor cells contributes to loss of contact inhibition and increased migration but also allows tumor cell recognition and killing by DNAM-1 or CD96 expressing NK cells (1, 7, 13). Binding of monocyte DNAM-1 to endothelial cell CD155 promotes transendothelial migration (8). The expression of CD155 on mouse CD8+ thymocytes prevents their premature exit from the thymus (14). Within intestinal Peyer's patches, follicular dendritic cell CD155 activates follicular helper T cells via DNAM-1 or CD96 binding (7-9, 15). CD155 also binds the inhibitory ligand TIGIT on NK and some mature T cells, antagonizing DNAM-1 effects (7, 15, 16).

References

  1. Mandai, K. et al. (2015) Curr. Top. Dev. Biol. 112:197.
  2. Mendelsohn, C.L. et al. (1989) Cell 56:855.
  3. Sato, T. et al. (2004) Genes to Cells 9:791.
  4. Meyer, D. et al. (2009) J. Biol. Chem. 284:2235.
  5. Koike, S. et al. (1990) EMBO J. 9:3217.
  6. Escalante, N.K. et al. (2011) Arterioscler. Thromb. Vasc. Biol. 31:1177.
  7. Xu, Z. and B. Jin (2010) Cell. Mol. Immunol. 7:11.
  8. Reymond, N. et al. (2004) J. Exp. Med. 199:1331.
  9. Maier, M.K. et al. (2007) Eur. J. Immunol. 37 :2214.
  10. Lozano, E. et al. (2013) J. Immunol. 191:3673.
  11. Yamashita-Kanemaru, Y. et al. (2015) J. Immunol. 194:5644.
  12. Mueller, S. and E. Wimmer (2003) J. Biol. Chem. 278:31251.
  13. Chan, C.J. et al. (2010) J. Immunol. 184:902.
  14. Qui, Q. et al. (2010) J. Immunol. 184:1681.
  15. Seth, S. et al. (2009) Eur. J. Immunol. 39:3160.
  16. Stanietsky, N. et al. (2009) Proc. Natl. Acad. Sci. USA 106:17858.

Long Name

Poliovirus Receptor

Alternate Names

CD155, HVED, Necl-5, PVR, PVS

Entrez Gene IDs

5817 (Human); 52118 (Mouse); 25066 (Rat); 102136444 (Cynomolgus Monkey); 712851 (Rhesus Macaque)

Gene Symbol

PVR

UniProt

Additional CD155/PVR Products

Product Documents for Recombinant Human CD155/PVR Fc Chimera Protein, CF

Certificate of Analysis

To download a Certificate of Analysis, please enter a lot number in the search box below.

Note: Certificate of Analysis not available for kit components.

Product Specific Notices for Recombinant Human CD155/PVR Fc Chimera Protein, CF

For research use only

Loading...
Loading...
Loading...