Skip to main content

Acetyl-CoA Carboxylase Activity Assay Kit (Colorimetric)

Novus Biologicals, part of Bio-Techne | Catalog # NBP3-24454

Novus Biologicals, part of Bio-Techne
Catalog #
Availability
Size / Price
Qty
Loading...
NBP3-24454

Key Product Details

Sample Type & Volume Required Per Well

Animal tissue and plant tissue

Sensitivity

6.78 U/L

Assay Range

6.78 - 138 U/L

Product Specifications

Kit Type

Activity Assay Kit (Colorimetric)

Reactivity

Non-species specific

Description

Detection instrument: Microplate reader (650 - 670 nm, optimum wavelength: 660 nm)
Assay time: 70 min

Precision

Intra-Assay Precision (Precision within an assay) %CV < 4

Inter-Assay Precision (Precision between assays) %CV < 8

Recovery for Acetyl-CoA Carboxylase Activity Assay Kit (Colorimetric)

Recovery

Average recovery rate: 98%

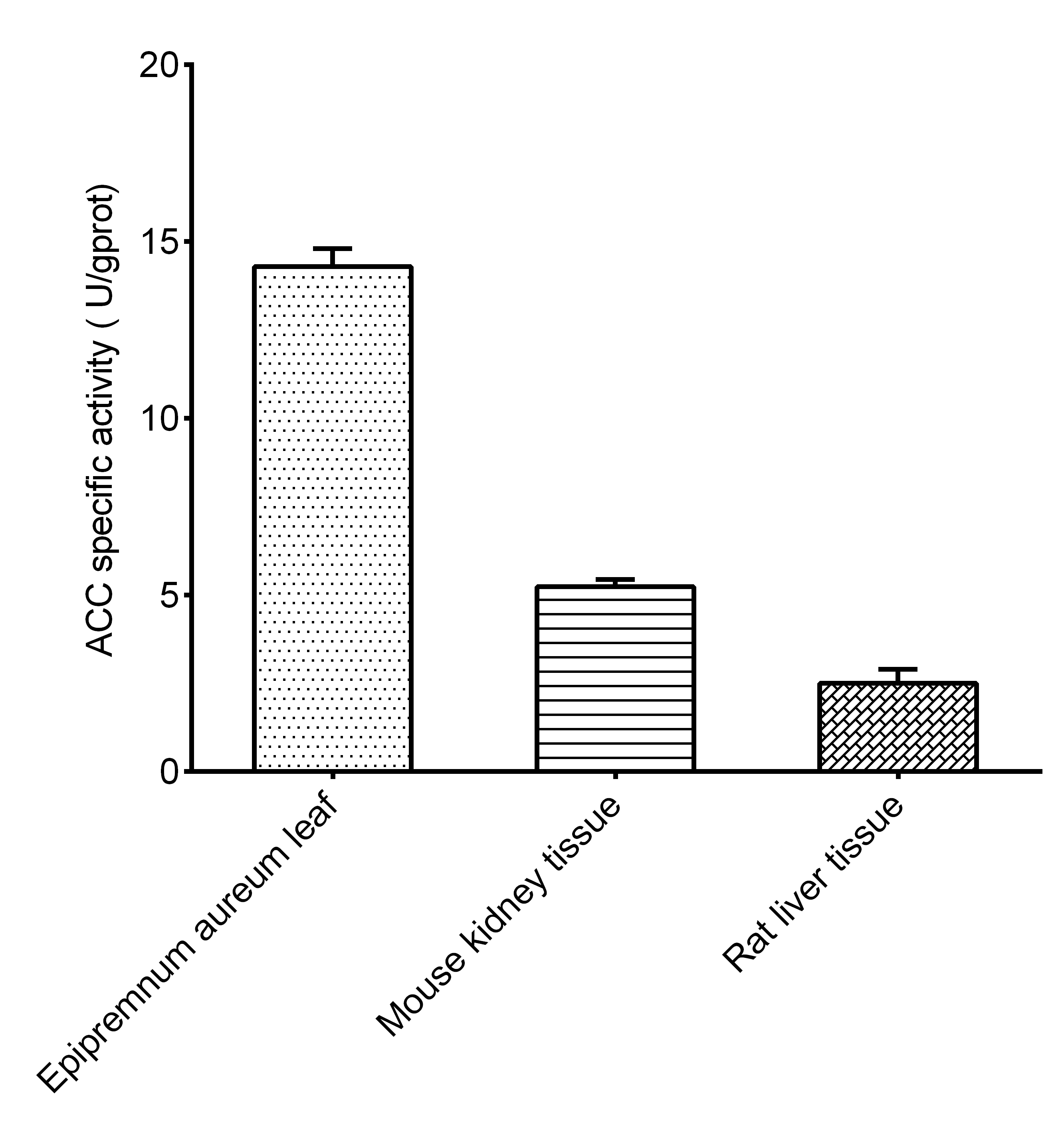
Scientific Data Images for Acetyl-CoA Carboxylase Activity Assay Kit (Colorimetric)

Acetyl-CoA Carboxylase Activity Assay Kit (Colorimetric)

Acetyl-CoA Carboxylase Activity Assay Kit (Colorimetric) [NBP3-24454] -

Acetyl-CoA Carboxylase Activity Assay Kit (Colorimetric) [NBP3-24454] - Standard Reference Curve
Acetyl-CoA Carboxylase Activity Assay Kit (Colorimetric)

Acetyl-CoA Carboxylase Activity Assay Kit (Colorimetric) [NBP3-24454] -

Acetyl-CoA Carboxylase Activity Assay Kit (Colorimetric) [NBP3-24454] - Assay Example

Kit Contents for Acetyl-CoA Carboxylase Activity Assay Kit (Colorimetric)

  • Microplate
  • Plate Sealer
  • Reagent 1: Buffer Solution
  • Reagent 2: Substrate A
  • Reagent 3: Negative Control Solution
  • Reagent 4: Substrate B
  • Reagent 5: Chromogenic Agent A
  • Reagent 6: Chromogenic Agent B
  • Reagent 7: Acid Solution
  • Reagent 8: 500 umol/L Standard Solution

Preparation and Storage

Shipping

The product is shipped with polar packs. Upon receipt, store it immediately at the temperature recommended below.

Stability & Storage

Storage of components varies. See protocol for specific instructions.

Background: Acetyl-CoA Carboxylase

Acetyl-CoA carboxylase (ACC) is a complex multifunctional enzyme system. ACC is a biotin-containing enzyme which catalyzes the carboxylation of acetyl-CoA to malonyl-CoA, the rate-limiting step in fatty acid synthesis. There are two ACC forms, alpha and beta, encoded by two different genes. ACC-alpha is highly enriched in lipogenic tissues. The enzyme is under long term control at the transcriptional and translational levels and under short term regulation by the phosphorylation/dephosphorylation of targeted serine residues and by allosteric transformation by citrate or palmitoyl-CoA. Multiple alternatively spliced transcript variants divergent in the 5' sequence and encoding distinct isoforms have been found for this gene. [provided by RefSeq, Jul 2008]

Alternate Names

ACAC, Acac1, ACACAD, ACC, ACC1, ACCA, ACC-alpha, ACCalphaACACalpha, acetyl-CoA carboxylase 1, acetyl-Coenzyme A carboxylase alpha, hACC1

Additional Acetyl-CoA Carboxylase Products

Product Documents for Acetyl-CoA Carboxylase Activity Assay Kit (Colorimetric)

Certificate of Analysis

To download a Certificate of Analysis, please enter a lot number in the search box below.

Product Specific Notices for Acetyl-CoA Carboxylase Activity Assay Kit (Colorimetric)

This product is for research use only and is not approved for use in humans or in clinical diagnosis. Kits are guaranteed for 6 months from date of receipt.

Loading...
Loading...
Loading...