Skip to main content

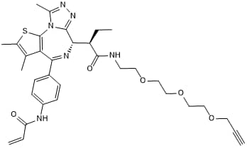
BromoCatch™ Ligand, Alkyne

Tocris Bioscience, part of Bio-Techne | Catalog # 8940

Clickable alkyne-functionalized covalent probe for BromoCatch-tagged proteins
Tocris Bioscience, part of Bio-Techne
BromoCatch can be used for clicking fluorophores in a two-step CuAAC mediated reaction
(3)

Key Product Details

Description: Clickable alkyne-functionalized covalent probe for BromoCatch-tagged proteins
Chemical Name: (2R)-2-((6S)-4-(4-Acrylamidophenyl)-2,3,9-trimethyl-6H-thieno[3,2-f][1,2,4]triazolo[4,3-a][1,4]diazepin-6-yl)-N-(2-(2-(2-(prop-2-yn-1-yloxy)ethoxy)ethoxy)ethyl)butanamide
Purity: ≥95% (HPLC)
Molecular Weight: 632.78
Loading...

Product Documents for BromoCatch™ Ligand, Alkyne

Certificate of Analysis

To download a Certificate of Analysis, please select a batch below.