Total and Free Cholesterol Assay Kit (Fluorometric)
Novus Biologicals, part of Bio-Techne | Catalog # NBP3-25935
Key Product Details
Sample Type & Volume Required Per Well
Serum, plasma, animal tissue and cell samples
Sensitivity
0.12 umol/L
Assay Range
0.12 - 30 umol/L
Product Specifications
Kit Type
Assay Kit (Fluorometric)
Reactivity
Non-species specific
Description
Detection instrument: Fluorescence microplate reader (Ex/Em = 535 nm/590 nm)
Assay Time: 20 min
Assay Time: 20 min
Precision
Intra-Assay Precision (Precision within an assay) %CV < 1.7
Inter-Assay Precision (Precision between assays) %CV < 7.3
Recovery for Total and Free Cholesterol Assay Kit (Fluorometric)
Recovery
Average recovery rate: 96%
Scientific Data Images for Total and Free Cholesterol Assay Kit (Fluorometric)
Total and Free Cholesterol Assay Kit (Fluorometric) [NBP3-25935] -
Total and Free Cholesterol Assay Kit (Fluorometric) [NBP3-25935] - Standard Curve ReferenceTotal and Free Cholesterol Assay Kit (Fluorometric) [NBP3-25935] -
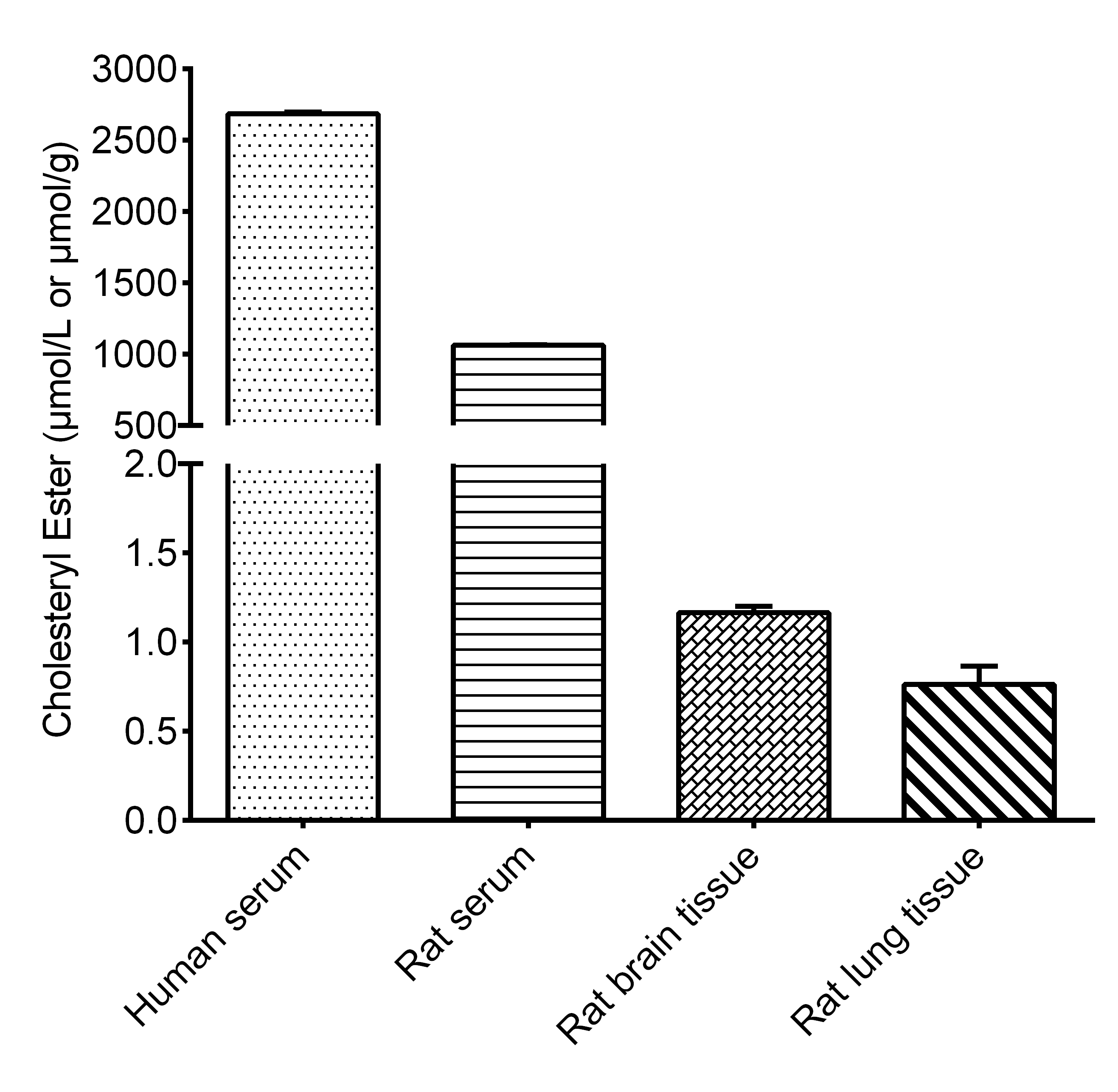
Total and Free Cholesterol Assay Kit (Fluorometric) [NBP3-25935] - Assay ExampleTotal and Free Cholesterol Assay Kit (Fluorometric) [NBP3-25935] -
Total and Free Cholesterol Assay Kit (Fluorometric) [NBP3-25935] - Assay ExampleKit Contents for Total and Free Cholesterol Assay Kit (Fluorometric)
- 5.17 mmol/L Cholesterol Standard Solution
- Bulfer Solution
- Enzyme Reagent 1
- Enzyme Reagent 2
- Extracting Solution
- Substrate
Preparation and Storage
Shipping
The product is shipped with polar packs. Upon receipt, store it immediately at the temperature recommended below.
Stability & Storage
Storage of components varies. See protocol for specific instructions.
Background: Total and Free Cholesterol
Additional Total and Free Cholesterol Products
Product Documents for Total and Free Cholesterol Assay Kit (Fluorometric)
Product Specific Notices for Total and Free Cholesterol Assay Kit (Fluorometric)
This product is for research use only and is not approved for use in humans or in clinical diagnosis. Kits are guaranteed for 6 months from date of receipt.
Loading...
Loading...
Loading...