Skip to main content

Pyruvate Dehydrogenase/PDH Activity Assay Kit (Colorimetric)

Novus Biologicals, part of Bio-Techne | Catalog # NBP3-25783

Novus Biologicals, part of Bio-Techne
Catalog #
Availability
Size / Price
Qty
Loading...
NBP3-25783

Key Product Details

Sample Type & Volume Required Per Well

Serum (plasma), urine, animal tissue and cell

Sensitivity

0.28 U /L

Assay Range

0.28 - 168.91 U/L

Product Specifications

Kit Type

Activity Assay Kit (Colorimetric)

Reactivity

Non-species specific

Description

Detection instrument: Microplate reader (440 - 460 nm, optimum wavelength: 450 nm)
Assay Time: 15 min

Precision

Intra-Assay Precision (Precision within an assay) %CV < 2

Inter-Assay Precision (Precision between assays) %CV < 10

Recovery for Pyruvate Dehydrogenase/PDH Activity Assay Kit (Colorimetric)

Recovery

Average recovery rate: 95%

Scientific Data Images for Pyruvate Dehydrogenase/PDH Activity Assay Kit (Colorimetric)

Pyruvate Dehydrogenase/PDH Activity Assay Kit (Colorimetric)

Pyruvate Dehydrogenase/PDH Activity Assay Kit (Colorimetric) [NBP3-25783] -

Pyruvate Dehydrogenase/PDH Activity Assay Kit (Colorimetric) [NBP3-25783] - Standard Curve Reference
Pyruvate Dehydrogenase/PDH Activity Assay Kit (Colorimetric)

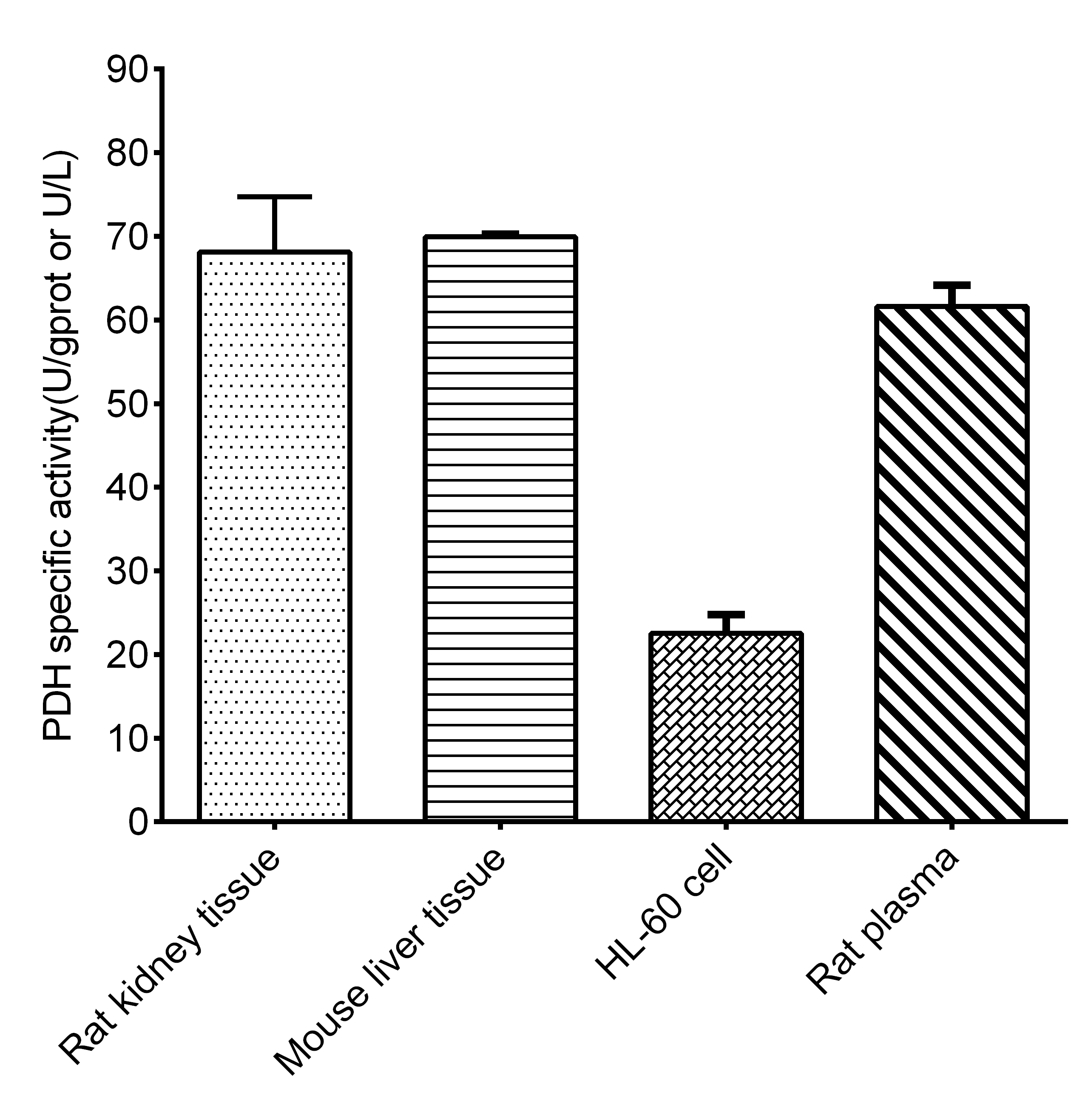
Pyruvate Dehydrogenase/PDH Activity Assay Kit (Colorimetric) [NBP3-25783] -

Pyruvate Dehydrogenase/PDH Activity Assay Kit (Colorimetric) [NBP3-25783] - Assay Example

Kit Contents for Pyruvate Dehydrogenase/PDH Activity Assay Kit (Colorimetric)

  • Buffer Solution
  • Chromogenic Agent
  • Extraction Solution
  • Standard
  • Substrate A
  • Substrate B

Preparation and Storage

Shipping

The product is shipped with polar packs. Upon receipt, store it immediately at the temperature recommended below.

Stability & Storage

Storage of components varies. See protocol for specific instructions.

Background: Pyruvate Dehydrogenase/PDH

Additional Pyruvate Dehydrogenase/PDH Products

Product Documents for Pyruvate Dehydrogenase/PDH Activity Assay Kit (Colorimetric)

Certificate of Analysis

To download a Certificate of Analysis, please enter a lot number in the search box below.

Product Specific Notices for Pyruvate Dehydrogenase/PDH Activity Assay Kit (Colorimetric)

This product is for research use only and is not approved for use in humans or in clinical diagnosis. Kits are guaranteed for 6 months from date of receipt.

Loading...
Loading...
Loading...