Skip to main content

BCG Albumin Assay Kit (Colorimetric)

Novus Biologicals, part of Bio-Techne | Catalog # NBP3-24462

Novus Biologicals, part of Bio-Techne
Catalog #
Availability
Size / Price
Qty
Loading...
NBP3-24462

Key Product Details

Sample Type & Volume Required Per Well

Serum and Plasma

Sensitivity

0.50 g/L

Assay Range

0.50 - 70 g/L

Product Specifications

Kit Type

Assay Kit (Colorimetric)

Reactivity

Non-species specific

Description

Detection instrument: Spectrophotometer (628 nm)
Assay time: 50 min

Precision

Intra-Assay Precision (Precision within an assay) %CV < 2.1

Inter-Assay Precision (Precision between assays) %CV < 4.2

Recovery for BCG Albumin Assay Kit (Colorimetric)

Recovery

Average recovery rate: 99%

Scientific Data Images for BCG Albumin Assay Kit (Colorimetric)

BCG Albumin Assay Kit (Colorimetric)

BCG Albumin Assay Kit (Colorimetric) [NBP3-24462] -

BCG Albumin Assay Kit (Colorimetric) [NBP3-24462] - Standard Reference Curve
BCG Albumin Assay Kit (Colorimetric)

BCG Albumin Assay Kit (Colorimetric) [NBP3-24462] -

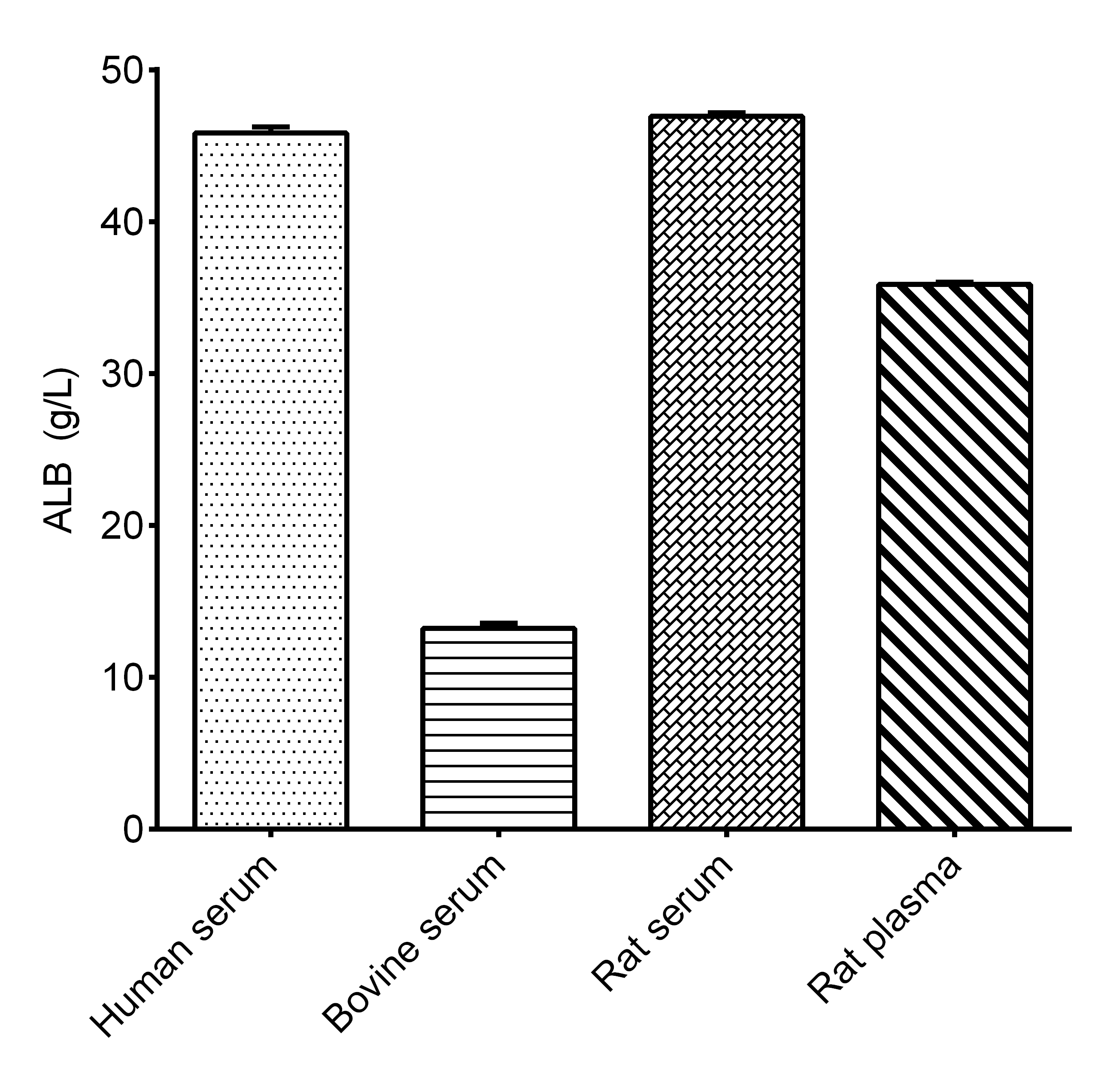
BCG Albumin Assay Kit (Colorimetric) [NBP3-24462] - Assay Example

Kit Contents for BCG Albumin Assay Kit (Colorimetric)

  • Reagent 1: Stock Solution
  • Reagent 2: 40 g/L Standard

Preparation and Storage

Shipping

The product is shipped with polar packs. Upon receipt, store it immediately at the temperature recommended below.

Stability & Storage

Storage of components varies. See protocol for specific instructions.

Background: BCG Albumin

Alternate Names

Bromcresol Green Albumin Assay

Additional BCG Albumin Products

Product Documents for BCG Albumin Assay Kit (Colorimetric)

Certificate of Analysis

To download a Certificate of Analysis, please enter a lot number in the search box below.

Product Specific Notices for BCG Albumin Assay Kit (Colorimetric)

This product is for research use only and is not approved for use in humans or in clinical diagnosis. Kits are guaranteed for 6 months from date of receipt.

Loading...
Loading...
Loading...