Skip to main content

ATPase Activity Assay Kit (Colorimetric)

Novus Biologicals, part of Bio-Techne | Catalog # NBP3-24475

Novus Biologicals, part of Bio-Techne
Catalog #
Availability
Size / Price
Qty
Loading...
NBP3-24475

Key Product Details

Sample Type & Volume Required Per Well

Animal tissue and cell samples

Sensitivity

0.06 U/L

Assay Range

0.06 - 2.75 U/L

Product Specifications

Kit Type

Activity Assay Kit (Colorimetric)

Reactivity

Non-species specific

Description

Detection instrument: Microplate reader (630-640 nm, optimum wavelength: 640 nm)
Assay time: 80 min

Precision

Intra-Assay Precision (Precision within an assay) %CV < 4

Inter-Assay Precision (Precision between assays) %CV < 5

Recovery for ATPase Activity Assay Kit (Colorimetric)

Recovery

Average recovery rate: 95%

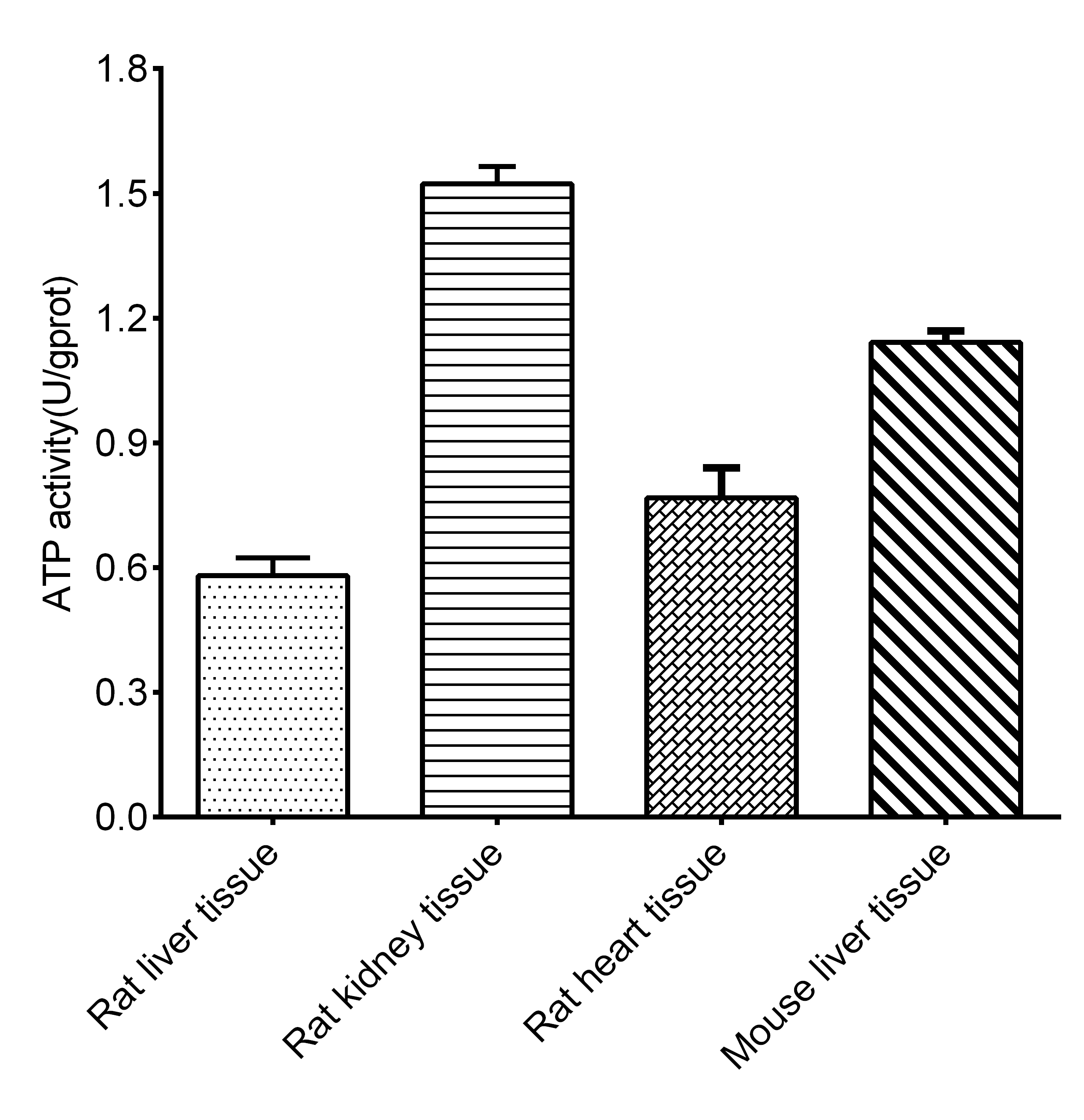
Scientific Data Images for ATPase Activity Assay Kit (Colorimetric)

ATPase Activity Assay Kit (Colorimetric)

ATPase Activity Assay Kit (Colorimetric) [NBP3-24475] -

ATPase Activity Assay Kit (Colorimetric) [NBP3-24475] - Standard Reference Curve
ATPase Activity Assay Kit (Colorimetric)

ATPase Activity Assay Kit (Colorimetric) [NBP3-24475] -

ATPase Activity Assay Kit (Colorimetric) [NBP3-24475] - Assay Example

Kit Contents for ATPase Activity Assay Kit (Colorimetric)

  • Microplate
  • Plate Sealer
  • Reagent 1: Buffer Solution
  • Reagent 2: Substrate
  • Reagent 3: Acid Reagent
  • Reagent 4: Chromogenic Agent A
  • Reagent 5: Chromogenic Agent B
  • Reagent 6: 10 mmol/L Standard

Preparation and Storage

Shipping

The product is shipped with polar packs. Upon receipt, store it immediately at the temperature recommended below.

Stability & Storage

Storage of components varies. See protocol for specific instructions.

Background: ATPase

CATALYTIC ACTIVITY: ATP + H2O = ADP + phosphate. SUBCELLULAR LOCATION: Membrane; multi-pass membrane protein (By similarity). ALTERNATIVE PRODUCTS: 2 named isoforms produced by alternative splicing. SIMILARITY: Belongs to the cation transport ATPase (P-type) family. Type V subfamily.

Alternate Names

ATPase, axonemal, dynein, axonemal, heavy chain 8, dynein, axonemal, heavy polypeptide 8, FLJ25850, FLJ36115, FLJ36334, HDHC9

Gene Symbol

DNAH8

Additional ATPase Products

Product Documents for ATPase Activity Assay Kit (Colorimetric)

Certificate of Analysis

To download a Certificate of Analysis, please enter a lot number in the search box below.

Product Specific Notices for ATPase Activity Assay Kit (Colorimetric)

This product is for research use only and is not approved for use in humans or in clinical diagnosis. Kits are guaranteed for 6 months from date of receipt.

Loading...
Loading...
Loading...
Loading...