Skip to main content

Aldehyde Dehydrogenase Activity Assay Kit (Colorimetric)

Novus Biologicals, part of Bio-Techne | Catalog # NBP3-25853

Novus Biologicals, part of Bio-Techne
Catalog #
Availability
Size / Price
Qty
Loading...
NBP3-25853

Key Product Details

Sample Type & Volume Required Per Well

Serum (plasma) and animal tissue

Sensitivity

0.01 U/L

Assay Range

0.01 - 10.0 U/L

Product Specifications

Kit Type

Activity Assay Kit (Colorimetric)

Reactivity

Non-species specific

Description

Detection instrument: Microplate reader (440 - 460 nm, optimum wavelength: 450 nm)
Assay Time: 80 min

Precision

Intra-Assay Precision (Precision within an assay) %CV < 3

Inter-Assay Precision (Precision between assays) %CV < 7.3

Recovery for Aldehyde Dehydrogenase Activity Assay Kit (Colorimetric)

Recovery

Average recovery rate: 99%

Scientific Data Images for Aldehyde Dehydrogenase Activity Assay Kit (Colorimetric)

Aldehyde Dehydrogenase Activity Assay Kit (Colorimetric)

Aldehyde Dehydrogenase Activity Assay Kit (Colorimetric) [NBP3-25853] -

Aldehyde Dehydrogenase Activity Assay Kit (Colorimetric) [NBP3-25853] - Standard Curve Reference
Aldehyde Dehydrogenase Activity Assay Kit (Colorimetric)

Aldehyde Dehydrogenase Activity Assay Kit (Colorimetric) [NBP3-25853] -

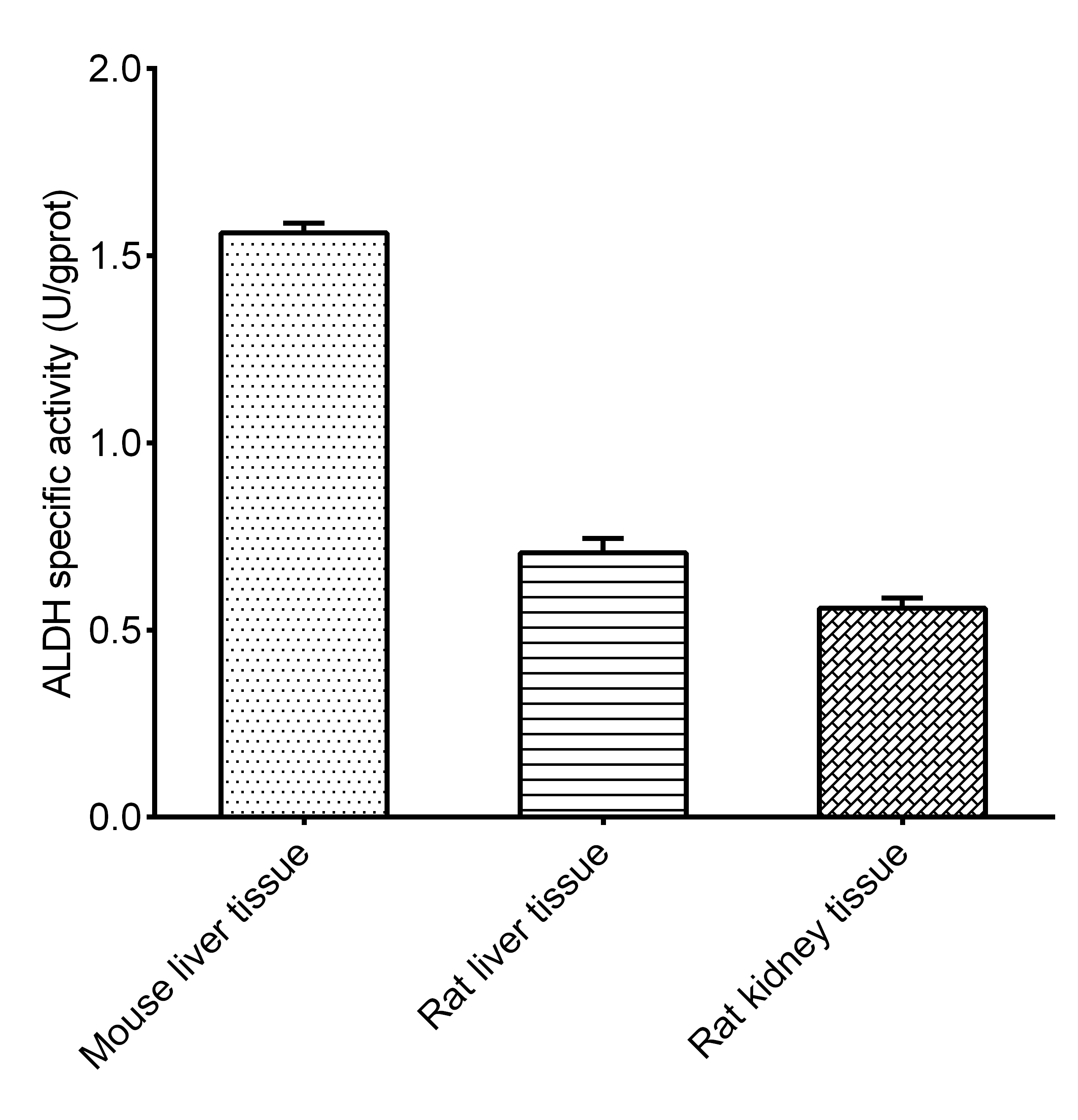
Aldehyde Dehydrogenase Activity Assay Kit (Colorimetric) [NBP3-25853] - Assay Example

Kit Contents for Aldehyde Dehydrogenase Activity Assay Kit (Colorimetric)

  • Buffer Solution
  • Chromogenic Agent
  • Coenzyme
  • Standard
  • Substrate

Preparation and Storage

Shipping

The product is shipped with polar packs. Upon receipt, store it immediately at the temperature recommended below.

Stability & Storage

Storage of components varies. See protocol for specific instructions.

Background: Aldehyde Dehydrogenase

Additional Aldehyde Dehydrogenase Products

Product Documents for Aldehyde Dehydrogenase Activity Assay Kit (Colorimetric)

Certificate of Analysis

To download a Certificate of Analysis, please enter a lot number in the search box below.

Product Specific Notices for Aldehyde Dehydrogenase Activity Assay Kit (Colorimetric)

This product is for research use only and is not approved for use in humans or in clinical diagnosis. Kits are guaranteed for 6 months from date of receipt.

Loading...
Loading...
Loading...