Skip to main content

Fumagillin

Tocris Bioscience, part of Bio-Techne | Catalog # 1768

Methionine aminopeptidase-2 inhibitor; antiangiogenic
Tocris Bioscience, part of Bio-Techne
Methionine aminopeptidase-2 inhibitor; antiangiogenic

Key Product Details

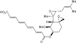
Description: Methionine aminopeptidase-2 inhibitor; antiangiogenic
Chemical Name: (2E,4E,6E,8E)-Mono[(3R,4S,5S,6R)-5-methoxy-4-[(2R,3R)-2-methyl-3-(3-methyl-2-butenyl)oxiranyl]-1-oxaspiro[2.5]oct-6-yl] 2,4,6,8-decatetraenedioic acid ester
Molecular Weight: 458.55
Loading...

Product Documents for Fumagillin

Certificate of Analysis

To download a Certificate of Analysis, please select a batch below.