Recombinant SARS-CoV-2 B.1.1.318 Spike GCN4-IZ Protein, CF
R&D Systems, part of Bio-Techne | Catalog # 10856-CV
Key Product Details
- R&D Systems HEK293-derived Recombinant SARS-CoV-2 B.1.1.318 Spike GCN4-IZ Protein (10856-CV)
- Quality control testing to verify active proteins with lot specific assays by in-house scientists
- All R&D Systems proteins are covered with a 100% guarantee
Product Specifications
Source
Human embryonic kidney cell, HEK293-derived sars-cov-2 Spike protein
| SARS-CoV-2 Spike (Val16 - Lys1211)(Thr95Ile, Tyr144del, Glu484Lys, Asp614Gly, Pro681His, Asp796His)(Arg682Ser, Arg685Ser, Lys986Pro, Val987Pro) Accession # YP_009724390.1 |
GCN4-IZ | 6-His tag |
| N-terminus | C-terminus |
Purity
>95%, by SDS-PAGE visualized with Silver Staining and quantitative densitometry by Coomassie® Blue Staining.
Endotoxin Level
<0.10 EU per 1 μg of the protein by the LAL method.
N-terminal Sequence Analysis
Val16
Predicted Molecular Mass
138 kDa
SDS-PAGE
145-165 kDa, under reducing conditions.
Activity
Measured by its binding ability in a functional ELISA with Recombinant
Human ACE-2 His-tag
(Catalog #
933-ZN).
Scientific Data Images for Recombinant SARS-CoV-2 B.1.1.318 Spike GCN4-IZ Protein, CF
Recombinant SARS-CoV-2 B.1.1.318 Spike (GCN4-IZ) His-tag Protein Binding Activity.
Recombinant SARS-CoV-2 B.1.1.318 Spike (GCN4-IZ) His-tag (Catalog # 10856-CV) binds Recombinant Human ACE-2 His-tag (933-ZN) in a functional ELISA.Recombinant SARS-CoV-2 B.1.1.318 Spike (GCN4-IZ) His-tag Protein SDS-PAGE.
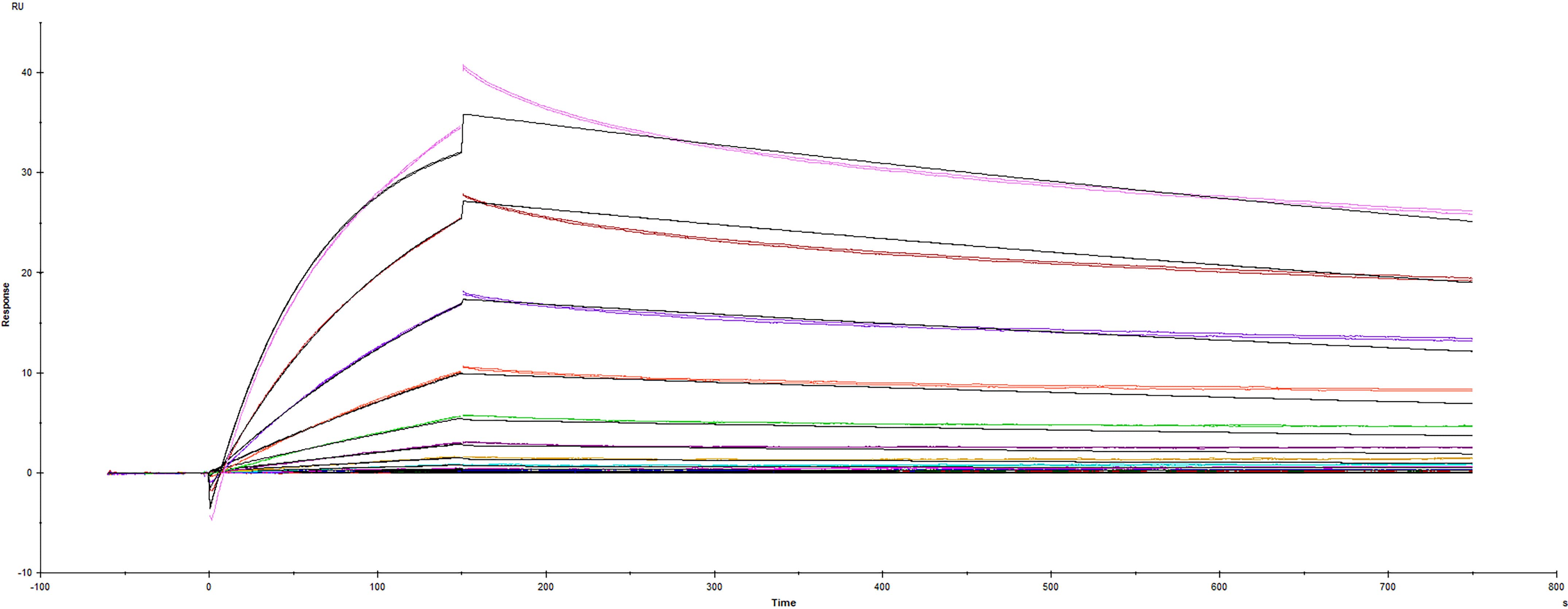
2 μg/lane of Recombinant SARS-CoV-2 B.1.1.318 Spike (GCN4-IZ) His-tag Protein (Catalog # 10856-CV) was resolved with SDS-PAGE under reducing (R) and non-reducing (NR) conditions and visualized by Coomassie® Blue staining, showing bands at 145-165 kDa.Binding of ACE-2 to SARS-CoV-2 Spike protein mutant B.1.1.318 variant by surface plasmon resonance (SPR).
Recombinant SARS-CoV-2 B.1.1.318 variant Spike protein His-tag (Catalog #10856-CV) was immobilized on a Biacore Sensor Chip CM5, and binding to recombinant human ACE-2 (933-ZN) was measured at a concentration range between 0.046 nM and 94.3 nM. The double-referenced sensorgram was fit to a 1:1 binding model to determine the binding kinetics and affinity, with an affinity constant of KD=3.60 nM.Formulation, Preparation and Storage
10856-CV
| Formulation | Lyophilized from a 0.2 μm filtered solution in PBS with Trehalose. |
| Reconstitution | Reconstitute at 500 μg/mL in PBS. |
| Shipping | The product is shipped at ambient temperature. Upon receipt, store it immediately at the temperature recommended below. |
| Stability & Storage | Use a manual defrost freezer and avoid repeated freeze-thaw cycles.
|
Background: Spike
References
- Wu, F. et al. (2020) Nature 579:265.
- Tortorici, M.A. and D. Veesler (2019) Adv. Virus Res. 105:93.
- Bosch, B.J. et al. (2003). J. Virol. 77:8801.
- Belouzard, S. et al. (2009) Proc. Natl. Acad. Sci. 106:5871.
- Millet, J.K. and G.R. Whittaker (2015) Virus Res. 202:120.
- Ortega, J.T. et al. (2020) EXCLI J. 19:410.
- Wang, K. et al. (2020) bioRxiv https://www.biorxiv.org/content/10.1101/2020.03.14.988345v1.
- Isabel, et al. (2020) Sci Rep 10, 14031. https://doi.org/10.1038/s41598-020-70827-z.
- Tai, W. et al. (2020) Cell. Mol. Immunol. https://doi.org/10.1016/j.it.2020.03.007.1.
- Okba, N. M. A. et al. (2020). Emerg. Infect. Dis. https://doi.org/10.3201/eid2607.200841.
- Peacock, T.P. et al. (2021) J Gen Virol. 2021 Apr:102.
- Wang, W.B. et al. (2021) bioRxiv https://doi.org/10.1101/2021.02.17.431566.
- Vasques Nonaka, C.K. et al. (2021) Emerg Infect Dis. https://doi.org/10.3201/eid2705.210191.
- Zhang, L. et al. (2020) Nat Commun. 11:6013.
- Lasek-Nesselquist, E. et al. (2021) medRxiv https://doi.org/10.1101/2021.03.10.21253285.
Long Name
Spike Protein
Alternate Names
S Protein
Entrez Gene IDs
Gene Symbol
S
UniProt
Additional Spike Products
Product Documents for Recombinant SARS-CoV-2 B.1.1.318 Spike GCN4-IZ Protein, CF
Product Specific Notices for Recombinant SARS-CoV-2 B.1.1.318 Spike GCN4-IZ Protein, CF
For research use only
Loading...
Loading...
Loading...