Skip to main content

Androgen R/NR3C4 Antibody (HL1028) - ARv7 Variant - Azide and BSA Free

Novus Biologicals, part of Bio-Techne | Catalog # NBP3-13685

Recombinant Monoclonal Antibody
Novus Biologicals, part of Bio-Techne
Catalog #
Availability
Size / Price
Qty
Loading...
NBP3-13685

Key Product Details

Species Reactivity

Human, Mouse

Applications

Immunohistochemistry, Immunohistochemistry-Paraffin, Western Blot, Immunocytochemistry/ Immunofluorescence

Label

Unconjugated

Antibody Source

Recombinant Monoclonal Rabbit IgG Clone # HL1028 expressed in HEK293

Format

Azide and BSA Free

Concentration

Concentrations vary lot to lot. See vial label for concentration. If unlisted please contact technical services.

Product Specifications

Immunogen

Carrier-protein conjugated synthetic peptide encompassing a sequence within the C-terminus region of human Androgen R/NR3C4 (ARv7 Splice Variant). The exact sequence is proprietary.

Clonality

Monoclonal

Host

Rabbit

Isotype

IgG

Theoretical MW

99 kDa.
Disclaimer note: The observed molecular weight of the protein may vary from the listed predicted molecular weight due to post translational modifications, post translation cleavages, relative charges, and other experimental factors.

Description

Centrifuge briefly prior to opening.

Scientific Data Images

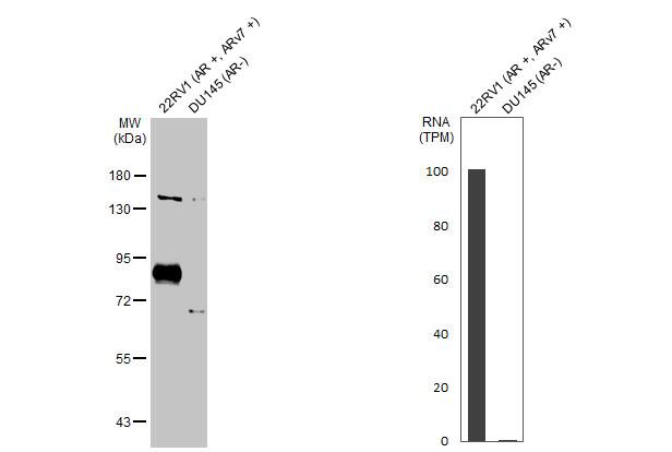
Western Blot: Androgen R/NR3C4 Antibody (HL1028)ARv7 Variant [NBP3-13685]

Western Blot: Androgen R/NR3C4 Antibody (HL1028)ARv7 Variant [NBP3-13685]

Western Blot: Androgen R/NR3C4 Antibody (HL1028) - ARv7 Variant [NBP3-13685] - Various whole cell extracts (30 ug) were separated by 7.5% SDS-PAGE, and the membrane was blotted with Androgen Receptor (ARv7 Splice Variant) antiboy [HL1028] diluted at 1:1000. The HRP-conjugated anti-rabbit IgG antibody (NBP2-19301) was used to detect the primary antibody.
Immunocytochemistry/ Immunofluorescence: Androgen R/NR3C4 Antibody (HL1028) - ARv7 Variant [NBP3-13685]

Immunocytochemistry/ Immunofluorescence: Androgen R/NR3C4 Antibody (HL1028) - ARv7 Variant [NBP3-13685]

Immunocytochemistry/Immunofluorescence: Androgen R/NR3C4 Antibody (HL1028) - ARv7 Variant [NBP3-13685] - 22RV1 cells were fixed in 4% paraformaldehyde at RT for 15 min.Green: Androgen Receptor (ARv7 Splice Variant) stained by Androgen Receptor (ARv7 Splice Variant) antiboy [HL1028] diluted at 1:500. Red: alpha Tubulin, a cytoskeleton marker, stained by alpha Tubulin antibody [114] diluted at 1:1000.
Androgen R/NR3C4 Antibody (HL1028) - ARv7 Variant

Western Blot: Androgen R/NR3C4 Antibody (HL1028) - ARv7 Variant [NBP3-13685] -

Western Blot: Androgen R/NR3C4 Antibody (HL1028) - ARv7 Variant [NBP3-13685] - Various whole cell extracts (30 ug) were separated by 7.5% SDS-PAGE, and the membrane was blotted antibodies as follows: Upper image : Androgen Receptor (ARv7 Splice Variant) antibody [HL1028] (1:1000). Lower image : Androgen Receptor antibody [HL1049]. The HRP-conjugated anti-rabbit IgG antibody was used to detect the primary antibody.

Applications

Application
Recommended Usage

Western Blot

1:500-1:3000
Application Notes
IHC-P, ICC/IF-Assay dependent.

Formulation, Preparation, and Storage

Purification

Protein A purified

Formulation

PBS

Format

Azide and BSA Free

Preservative

No Preservative

Concentration

Concentrations vary lot to lot. See vial label for concentration. If unlisted please contact technical services.

Shipping

The product is shipped with polar packs. Upon receipt, store it immediately at the temperature recommended below.

Stability & Storage

Store at 4C short term. Aliquot and store at -20C long term. Avoid freeze-thaw cycles.

Background: Androgen R/NR3C4

Androgens have a broad range of effects on the appearance and maintenance of male secondary sexual characteristics. Like other members of the steroid superfamily, the androgen receptor (AR) consists of an amino terminal modulating domain, a central DNA binding domain, a hinge region and a carboxy terminal ligand binding domain. The androgen receptor (AR) is a 110 kDa androgen-dependent transcription factor that is a member of the steroid/nuclear receptor gene superfamily. The AR signaling pathway plays a key role in development and function of male reproductive organs, including the prostate and epididymis. AR also plays a role in nonreproductive organs, such as muscle, hair follicles, and brain. Abnormalities in the AR signaling pathway have been linked to a number of diseases, including prostate cancer, Kennedy's disease and male infertility. The PI3K/Akt signaling pathway plays an important role in regulating AR activity through phosphorylation of AR at Ser213/210 and Ser791/790. Growth factors or cytokines may induce phosphorylation of AR through the PI3K/Akt pathway. Activation of the PI3K/AKt pathway is thought to have a survival role in prostate cancer by protecting cells from apoptosis.

Long Name

Androgen Receptor

Alternate Names

AIS, AndrogenR, AR, DHTR, NR3C4, SBMA, SMAX1

Gene Symbol

AR

Additional Androgen R/NR3C4 Products

Product Documents

Certificate of Analysis

To download a Certificate of Analysis, please enter a lot number in the search box below.

Product Specific Notices

This product is for research use only and is not approved for use in humans or in clinical diagnosis. Primary Antibodies are guaranteed for 1 year from date of receipt.

Loading...
Loading...
Loading...
Loading...