38 results for "Janelia Fluor Dyes" in Products
Janelia Fluor Dyes Products
Red dye (Reactive group: NHS ester). Application: flow cytometry, confocal microscopy, super resolution microscopy (SRM) including dSTORM & STED. Suitable for live cell imaging
| Alternate Names: | JF 646,NHS |
| Applications: | Flow, IHC, ICC |
| Chemical Name: | 1-[7-(1-Azetidinyl)-10-[2-carboxy-5-[[(2,5-dioxo-1-pyrrolidinyl)oxy]carbonyl]phenyl]-9,9-dimethyl-9-silaanthracen-2(9H)-ylidene]azetidinium, inner salt |
| Purity: | ≥95% (HPLC) |
Red dye (Reactive group: azide). Application: confocal microscopy, super resolution microscopy (SRM) including dSTORM & STED. Suitable for live cell imaging
| Alternate Names: | JF 646 |
| Applications: | Flow, IHC, ICC |
| Chemical Name: | 2-(3-(Azetidin-1-ium-1-ylidene)-7-(azetidin-1-yl)-5,5-dimethyl-3,5-dihydrodibenzo[b,e]silin-10-yl)-4-((2-(2-(2-(2-azidoethoxy)ethoxy)ethoxy)ethyl)carbamoyl)benzoate |
| Purity: | ≥95% (HPLC) |
Cell-permeable photoactivatable Janelia Fluor® 646 with a chloroalkane handle. Application: live-cell imaging as a self-labeling tag (SLT) substrate
| Chemical Name: | 2',7'-Bis(1-azetidinyl)-2-diazo-N-[2-[2-[(6-chlorohexyl)oxy]ethoxy]ethyl]-2,3-dihydro-9',9'-dimethyl-3-oxospiro[1H-indene-1,10'(9'H)-[9]silaanthracene]-6-carboxamide |
| Purity: | ≥95% (HPLC) |
Yellow dye (Reactive group: maleimide). Application: flow cytometry, confocal microscopy, super resolution microscopy including dSTORM & STED. Suitable for live cell imaging
| Chemical Name: | 2-(3-(Azetidin-1-ium-1-ylidene)-6-(azetidin-1-yl)-3H-xanthen-9-yl)-4-((2-(2,5-dioxo-2,5-dihydro-1H-pyrrol-1-yl)ethyl)carbamoyl)benzoate trifluoroacetate |
| Applications: | Flow, IHC, ICC |
| Purity: | ≥90% (HPLC) |
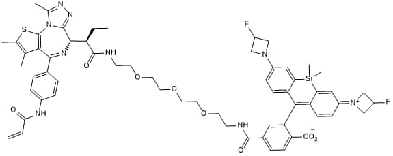
Fluorogenic Janelia Fluor® 635 conjugated covalent ligand for BromoCatch™, enabling no-wash live-cell imaging
| Chemical Name: | 4-(((R)-14-((S)-4-(4-Acrylamidophenyl)-2,3,9-trimethyl-6H-thieno[3,2-f][1,2,4]triazolo[4,3-a][1,4]diazepin-6-yl)-13-oxo-3,6,9-trioxa-12-azahexadecyl)carbamoyl)-2-(3-(3-fluoroazetidin-1-ium-1-ylidene)-7-(3-fluoroazetidin-1-yl)-5,5-dimethyl-3,5-dihydrodibenzo[b,e]silin-10-yl)benzoate |
| Purity: | ≥95% (HPLC) |
Red photoactivatable dye (Reactive group: maleimide). Application: flow cytometry, confocal microscopy, super resolution microscopy including dSTORM & STED. Suitable for live cell imaging
| Chemical Name: | 3,7-Di(azetidin-1-yl)-2'-diazo-N-(2-(2,5-dioxo-2,5-dihydro-1H-pyrrol-1-yl)ethyl)-5,5-dimethyl-3'-oxo-2',3'-dihydro-5H-spiro[dibenzo[b,e]siline-10,1'-indene]-6'-carboxamide |
| Applications: | AdAct |
| Purity: | ≥90% (HPLC) |
Far red dye (Reactive group: NHS ester). Application: confocal miocrocopy, super resolution microscopy including dSTORM & STED. Suitable for live cell imaging
| Alternate Names: | JF 669,NHS |
| Applications: | IHC, ICC |
| Chemical Name: | 1-[7-(1-Azetidinyl)-10-[2-Carboxy-5-[(2-(2,5-dioxopyrrolidin-1-yl)oxy)-2-oxoethyl]thio-3,4,6-trifluorophenyl]-9,9-dimethyl-9-silaanthracen-2(9H)-ylidene]azetidinium, inner salt |
| Purity: | ≥90% (HPLC) |
Fluorogenic Janelia Fluor® 549 conjugated covalent ligand for BromoCatch™, enabling no-wash live-cell imaging
| Chemical Name: | 4-(((R)-14-((S)-4-(4-Acrylamidophenyl)-2,3,9-trimethyl-6H-thieno[3,2-f][1,2,4]triazolo[4,3-a][1,4]diazepin-6-yl)-13-oxo-3,6,9-trioxa-12-azahexadecyl)carbamoyl)-2-(3-(azetidin-1-ium-1-ylidene)-6-(azetidin-1-yl)-3H-xanthen-9-yl)benzoate |
| Purity: | ≥90% (HPLC) |
Cell-permeable photoactivatable Janelia Fluor® 549 with a chloroalkane handle. Application: live-cell imaging as a self-labeling tag (SLT) substrate
| Chemical Name: | 3',6'-Bis(1-azetidinyl)-N-[2-[2-[(6-chlorohexyl)oxy]ethoxy]ethyl]-2-diazo-2,3-dihydro-3-oxospiro[1H-indene-1,9'-[9H]xanthene]-6-carboxamide |
| Purity: | ≥90% (HPLC) |
Yellow dye (Reactive group: free acid). Application: flow cytometry, confocal microscopy, super resolution microscopy (SRM) including dSTORM & STED. Suitable for live cell imaging
| Chemical Name: | 3,6-Di-1-azetidinyl-9-(2,5-dicarboxyphenyl)xanthylium, inner salt trifluoroacetate |
| Applications: | Flow, IHC, ICC |
| Purity: | ≥90% (HPLC) |
Fluorogenic Janelia Fluor® 525 conjugated covalent ligand for BromoCatch™, enabling no-wash live-cell imaging
| Chemical Name: | 4-(((R)-14-((S)-4-(4-Acrylamidophenyl)-2,3,9-trimethyl-6H-thieno[3,2-f][1,2,4]triazolo[4,3-a][1,4]diazepin-6-yl)-13-oxo-3,6,9-trioxa-12-azahexadecyl)carbamoyl)-2-(3-(3,3-difluoroazetidin-1-ium-1-ylidene)-6-(3,3-difluoroazetidin-1-yl)-3H-xanthen-9-yl)benzoate |
| Purity: | ≥90% (HPLC) |
Yellow dye (Reactive group: NHS ester). Application: flow cytometry, confocal microscopy, super resolution microscopy (SRM) including dSTORM & STED. Suitable for live cell imaging
| Alternate Names: | JF 549,NHS |
| Applications: | Flow, IHC, ICC |
| Chemical Name: | 3,6-Di-1-azetidinyl-9-[2-carboxy-5-[[(2,5-dioxo-1-pyrrolidinyl)oxy]carbonyl]phenyl]xanthylium, inner salt |
Red dye (Reactive group: free acid). Application: flow cytometry, confocal microscopy, super resolution microscopy (SRM) including dSTORM & STED. Suitable for live cell imaging
| Chemical Name: | 1-[7-(1-Azetidinyl)-10-(2,5-dicarboxyphenyl)-9,9-dimethyl-9-silaanthracen-2(9H)-ylidene]azetidinium inner salt |
| Purity: | ≥95% (HPLC) |
Cell-permeable fluorogenic fluorescent dye with a chloroalkane handle. Application: live-cell imaging as a self-labeling tag (SLT) substrate
| Chemical Name: | 4-((2-(2-((6-Chlorohexyl)oxy)ethoxy)ethyl)carbamoyl)-2-(3-(3-fluoroazetidin-1-ium-1-ylidene)-7-(3-fluoroazetidin-1-yl)-5,5-dimethyl-3,5-dihydrodibenzo[b,e]silin-10-yl)benzoate |
| Purity: | ≥95% (HPLC) |
Yellow dye (Reactive group: tetrazine). Application: confocal microscopy, super resolution microscopy including dSTORM & STED. Suitable for live cell imaging
| Chemical Name: | 3,6-Di-1-azetidinyl-9-[[4-[(1,2,4,5-tetrazin-3-yl)benzyl]carbamoyl]-2-carboxyphenyl]xanthylium, inner salt |
| Applications: | Flow, IHC, ICC |
Red photoactivatable dye (Reactive group: NHS ester). Application: super resolution microscopy (SRM), single molecule tracking and live cell imaging
| Chemical Name: | 2,5-Dioxo-1-pyrrolidinyl 3,7-di-1-azetidinyl-2'-diazo-5,5-dimethyl-2',3'-dihydro-5H-3'-oxospiro[dibenzo[b,e]siline-10,1'-indene]-6'-carboxylate |
| Purity: | ≥90% (HPLC) |
Yellow dye (Reactive group: NHS ester). Application: confocal microscopy, super resolution microscopy (SRM) including dSTORM. Suitable for live cell imaging
| Alternate Names: | JF 525,NHS |
| Applications: | IHC, ICC |
| Chemical Name: | 3,6-Di-1-(3,3-difluoroazetidinyl)-9-[2-carboxy-5-[[(2,5-dioxo-1-pyrrolidinyl)oxy]carbonyl]phenyl]xanthylium, inner salt |
Blinking fluorescent dye (Reactive group: maleimide). Application: super resolution microscopy (SRM) including SMLM
| Chemical Name: | 3,7-Di(azetidin-1-yl)-N-(2-(2,5-dioxo-2,5-dihydro-1H-pyrrol-1-yl)ethyl)-5,5-dimethyl-3'H,5H-spiro[dibenzo[b,e]siline-10,1'-isobenzofuran]-6'-carboxamide |
| Purity: | ≥90% (HPLC) |
Red dye (Reactive group: NHS ester). Application: flow cytometry, confocal microscopy, super resolution microscopy. Suitable for live cell imaging
| Alternate Names: | JF 635,NHS |
| Applications: | IHC, ICC |
| Chemical Name: | 1-[10-[2-Carboxy-5-[[(2,5-dioxo-1-pyrrolidinyl)oxy]carbonyl]phenyl]-9,9-dimethyl-7-[1-(3-fluoroazetidinyl)]-9-silaanthracen-2(9H)-ylidene]-3-fluoroazetidinium, inner salt |
| Purity: | ≥95% (HPLC) |
Cell-permeable fluorogenic fluorescent dye with a chloroalkane handle. Application: live-cell imaging as a self-labeling tag substrate
| Chemical Name: | 4-((2-(2-((6-Chlorohexyl)oxy)ethoxy)ethyl)carbamoyl)-2-(3-(3,3-difluoroazetidin-1-ium-1-ylidene)-6-(3,3-difluoroazetidin-1-yl)-3H-xanthen-9-yl)benzoate |
| Purity: | ≥95% (HPLC) |
Cell-permeable fluorogenic fluorescent dye with a chloroalkane handle. Application: live-cell imaging as a self-labeling tag substrate
| Chemical Name: | 2-(3-(Azetidin-1-ium-1-ylidene)-6-(azetidin-1-yl)-3H-xanthen-9-yl)-4-((2-(2-((6-chlorohexyl)oxy)ethoxy)ethyl)carbamoyl)benzoate |
| Purity: | ≥90% (HPLC) |
Blinking fluorescent dye (Reactive group: NHS ester). Application: super resolution microscopy (SRM) including SMLM
| Chemical Name: | 2,5-Dioxopyrrolidin-1-yl 3,7-bis(3-fluoroazetidin-1-yl)-5,5-dimethyl-3'H,5H-spiro[dibenzo[b,e]siline-10,1'-isobenzofuran]-6'-carboxylate |
| Purity: | ≥90% (HPLC) |
Fluorogenic spontaneously blinking yellow-emitting dye (Reactive group: NHS ester). Application: dSTORM, SMLSM, STED, SIM and confocal microscopy
| Alternate Names: | HM-JF526 NHS |
| Chemical Name: | 2,5-Dioxopyrrolidin-1-yl 3',6'-bis(3,3-difluoroazetidin-1-yl)-2',7'-difluoro-3H-spiro[isobenzofuran-1,9'-xanthene]-6-carboxylate |
| Purity: | ≥90% (HPLC) |
Cell-permeable fluorogenic fluorescent dye with a chloroalkane handle. Application: live-cell imaging as a self-labeling tag substrate
| Chemical Name: | 2-(3-(Azetidin-1-ium-1-ylidene)-7-(azetidin-1-yl)-5,5-dimethyl-3,5-dihydrodibenzo[b,e]silin-10-yl)-4-((2-(2-((6-chlorohexyl)oxy)ethoxy)ethyl)carbamoyl)benzoate |
| Purity: | ≥95% (HPLC) |
Blinking fluorescent dye (Reactive group: maleimide). Application: super resolution microscopy (SRM) including SMLM
| Chemical Name: | N-(2-(2,5-Dioxo-2,5-dihydro-1H-pyrrol-1-yl)ethyl)-3,7-bis(3-fluoroazetidin-1-yl)-5,5-dimethyl-3'H,5H-spiro[dibenzo[b,e]siline-10,1'-isobenzofuran]-6'-carboxamide |
| Purity: | ≥90% (HPLC) |