Skip to main content

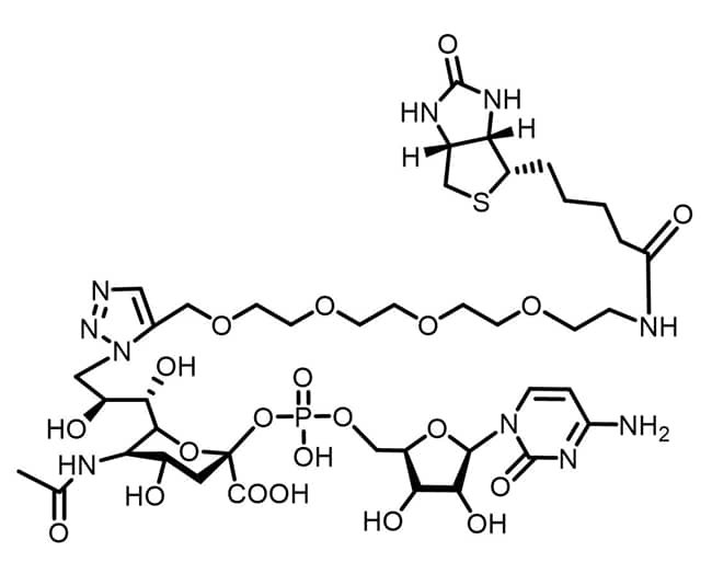
CMP-C9-Biotin-Sialic Acid

R&D Systems, part of Bio-Techne | Catalog # ES201

R&D Systems, part of Bio-Techne

Key Product Details

Key Benefits:

Learn more about Fluorescent Glycan Labeling and Detection

CMP-C9-Biotin-Sialic Acid

Assay Procedure

Sample Protocol for Labeling & Detecting Sialoglycans with Biotinylated Sialic Acid

Protocols are guidelines. Parameters need to be optimized by end users.

Materials

Assay Buffer: 25 mM Tris, 10 mM MnCl2, pH 7.5

Sample glycoprotein

Recombinant sialyltransferases

Recombinant neuraminidase

CMP-C9-Biotin-Sialic Acid (R&D Systems®, Catalog # ES201)

Streptavidin-HRP (R&D Systems®, Catalog # DY998)

SDS-PAGE and Western Blot reagents or equivalent

TBST buffer: 25 mM Tris, 137 mM NaCl, 0.1% Tween-20, pH 7.5

10% Fat Free Milk

Assay Procedure

  1. Prepare reaction mixture by combining a sample glycoprotein (ideally between 1 to 10 µg), 0.5 µg of a recombinant sialyltransferase, 0.1 µg of recombinant neuraminidase, 1 nmol CMP-C9-Biotin-Sialic Acid, in the Assay Buffer with the final volume of 25 μL.
  2. Prepare negative controls by combining a sample glycoprotein (ideally between 1 to 10 µg), 0.1 µg of recombinant neuraminidase, 1 nmol CMP-C9-Biotin-Sialic Acid in the Assay Buffer with the final volume of 25 μL.
  3. Incubate reactions and controls at 37 °C for 30 minutes.
  4. Separate the reactions and controls by SDS-PAGE.
  5. Blot the gel to a nitrocellulose membrane.
  6. Block the blot with 10% fat-free milk for 5 minutes.
  7. Thoroughly wash the membrane with TBST buffer by changing buffer three times for a total of 30 minutes.
  8. Incubate the blot with 25 ng/mL Streptavidin-HRP in 30 mL TBST buffer for 30 minutes.
  9. Thoroughly wash the membrane with TBST buffer by changing buffer three times for a total of 45 minutes.
  10. Detect with commercial ECL (Enhanced Chemiluminescence) reagents.

Final Assay Conditions Per Reaction

CMP-C9-Biotin-Sialic Acid :  1 nmol

Recombinant sialyltransferase:  0.5 µg

Recombinant neuraminidase : 0.1 µg

Sample glycoproteins:  1-10 µg

Loading...

Customer Reviews for CMP-C9-Biotin-Sialic Acid

There are currently no reviews for this product. Be the first to review CMP-C9-Biotin-Sialic Acid and earn rewards!

Have you used CMP-C9-Biotin-Sialic Acid?

Submit a review and receive an Amazon gift card!

$25/€18/£15/$25CAN/¥2500 Yen for a review with an image

$10/€7/£6/$10CAN/¥1110 Yen for a review without an image

Submit a review
Amazon Gift Card

Product Documents for CMP-C9-Biotin-Sialic Acid

Certificate of Analysis

To download a Certificate of Analysis, please enter a lot number in the search box below.

Note: Certificate of Analysis not available for kit components.