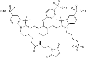
Key information: IRDye® 800CW, Maleimide is a near-infrared (NIR) fluorescent dye, supplied with a maleimide reactive group for conjugation (thiol reactivity). Suitable for live cell imaging.
Application: Fluorescence microscopy.
Properties and Photophysical Data: Excitation and emission maxima (λ) are 773 nm and 792 nm, respectively.
Please see the product protocol for further information and a guide to protein/antibody labeling.
It is recommended to dissolve this dye in water or DMSO (10 - 20 mg/mL)
NOTE: When labeling a peptide or protein with IRDye® 800CW Maleimide, the choice of solvent for the dye is dependent on the stability of the target. Since a small amount of dye is needed to label large (i.e. >45 kDa) proteins, the amount of DMSO in the reaction is negligible and should not affect protein stability. However, since a proportionally larger amount of dye is required to achieve adequate labeling for a small protein (i.e. <45 kDa) or peptide, the level of DMSO in the reaction is more likely to affect the target stability. Dye solubilized in aqueous solutions should be discarded after one use. Dye prepared in DMSO is stable when stored at -20 °C (for up to two weeks) and protected from light and moisture.
IRDye® is a registered trademark of Li-Cor and is used under license.