Skip to main content

ACE-2 Inhibitor Screening Assay Kit

Novus Biologicals, part of Bio-Techne | Catalog # NBP3-24468

Novus Biologicals, part of Bio-Techne
Catalog #
Availability
Size / Price
Qty
Loading...
NBP3-24468

Key Product Details

Kit Type

Inhibitor Screening Assay Kit

Product Summary for ACE-2 Inhibitor Screening Assay Kit

Detection instrument: Fluorescence microplate reader (Ex/Em = 325 nm/395 nm)
Assay time: 45 min

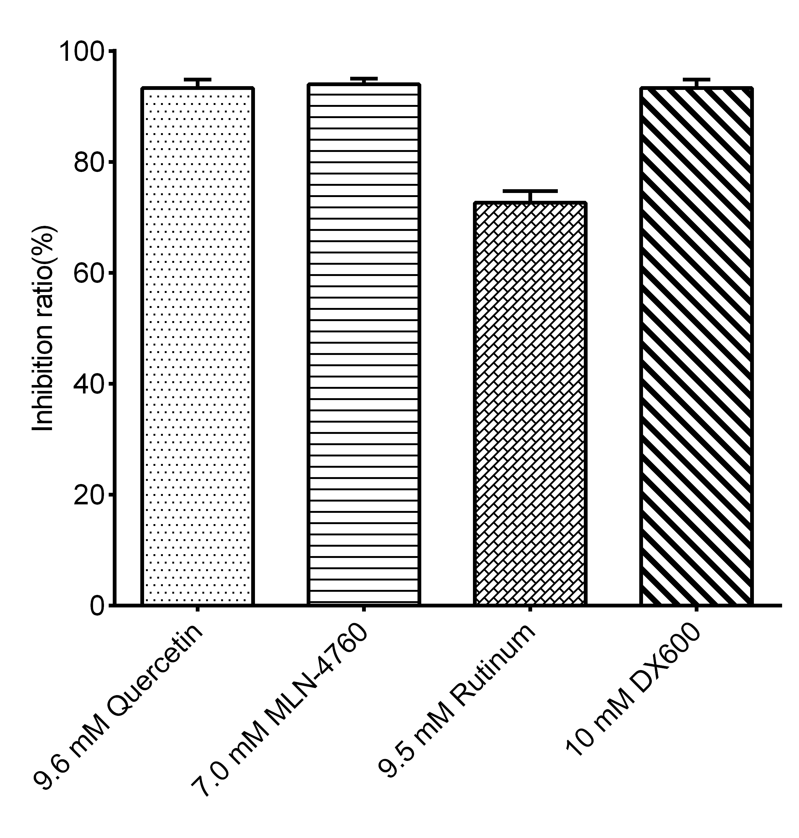
Scientific Data Images for ACE-2 Inhibitor Screening Assay Kit

ACE-2 Inhibitor Screening Assay Kit

ACE-2 Inhibitor Screening Assay Kit [NBP3-24468] -

ACE-2 Inhibitor Screening Assay Kit [NBP3-24468] - Standard Reference Curve
ACE-2 Inhibitor Screening Assay Kit

ACE-2 Inhibitor Screening Assay Kit [NBP3-24468] -

ACE-2 Inhibitor Screening Assay Kit [NBP3-24468] - Assay Example

Kit Contents for ACE-2 Inhibitor Screening Assay Kit

  • Black Microplate
  • Plate Sealer
  • Reagent 1: Buffer Solution
  • Reagent 2: Enzyme Reagent
  • Reagent 3: Substrate
  • Reagent 4: Inhibitors

Formulation, Preparation, and Storage

Concentration

Concentration is not relevant for this product. Please see the protocols for proper use of this product.

Shipping

The product is shipped with polar packs. Upon receipt, store it immediately at the temperature recommended below.

Storage

Storage of components varies. See protocol for specific instructions.

Background: ACE-2

Angiotensin I Converting Enzyme 2 (ACE2), also known as ACEH (ACE homologue), is an integral membrane protein and a zinc metalloprotease of the ACE family (theoretical molecular weight 92 kDa). The predicted mouse ACE2 protein sequence consists of 798 amino acids, including an N-terminal signal peptide, a single catalytic domain, a C-terminal membrane anchor, and a short cytoplasmic tail. Mouse ACE2 is 40% homologous in amino acid identity to the N- and C-terminal domains of mouse somatic ACE. Enzymatically, ACE2 converts the inactive vasoconstrictor angiotensin I (AngI) to Ang1-9 and the active form AngII to Ang1-7, unlike ACE, which converts Ang I to Ang II.

Genetic data from Drosophila, mice and rats show that the ACE2 protein is an essential regulator of heart function in vivo. ACE2 mRNA is found at high levels in testis, kidney and heart with moderate levels in colon, small intestine, and ovary. The ACE2 protein contributes to organ function through the renin-angiotensin system, playing a central role in vascular, renal, and myocardial physiology.

Virology research has demonstrated that the severe acute respiratory syndrome coronavirus (SARS-CoV) spike protein binds to its functional receptor, ACE2 (1). Vimentin is a type III intermediate filament protein expressed in mesenchymal cells that helps comprise the cytoskeleton in all animal cells. Studies have demonstrated that vimentin allows cell binding that allows the uptake of SARS-CoV spike protein into a host (2). This direct interaction of SARS-CoV with vimentin has been identified as an entry mechanism for the virus into a host, mediated by the SARS-CoV receptor ACE2 (1,2). It has been shown that ACE2 is the SARS-CoV-2 receptor required for cell entry and plays a physiological role in the replication of SARS-CoV in an infected host (1). Studies using human ACE2 antibody demonstrated a blockade of SARS-CoV-2 and ACE2 interaction, indicating an important physiological component of viral transmission and potential anti-viral therapeutic strategies (3).

References

1. Li, W., Moore, M. J., Vasilieva, N., Sui, J., Wong, S. K., Berne, M. A., . . . Farzan, M. (2003). Angiotensin-converting enzyme 2 is a functional receptor for the SARS coronavirus. Nature, 426(6965), 450-454. doi:10.1038/nature02145

2. Yu YT, Chien SC, Chen IY, Lai CT, Tsay YG, Chang SC, Chang MF. (2016) Surface vimentin is critical for the cell entry of SARS-CoV. J Biomed Sci. doi: 10.1186/s12929-016-0234-7

3. Hoffmann, M., Kleine-Weber, H., Schroeder, S., Kruger, N., Herrler, T., Erichsen, S., . . . Pohlmann, S. (2020). SARS-CoV-2 Cell Entry Depends on ACE2 and TMPRSS2 and Is Blocked by a Clinically Proven Protease Inhibitor. Cell. doi:10.1016/j.cell.2020.02.052

Long Name

Angiotensin I Converting Enzyme 2

Alternate Names

ACE2, ACEH

Gene Symbol

ACE2

Additional ACE-2 Products

Product Documents for ACE-2 Inhibitor Screening Assay Kit

Certificate of Analysis

To download a Certificate of Analysis, please enter a lot number in the search box below.

Product Specific Notices for ACE-2 Inhibitor Screening Assay Kit

This product is for research use only and is not approved for use in humans or in clinical diagnosis. Kits are guaranteed for 6 months from date of receipt.

Loading...
Loading...
Loading...