Skip to main content

Recombinant SARS-CoV-2 CAL.20C S1 Subunit His Protein, CF

R&D Systems, part of Bio-Techne | Catalog # 10779-CV

W152C, L452R, D614G
R&D Systems, part of Bio-Techne
Catalog #
Availability
Size / Price
Qty
Loading...
10779-CV-100

Key Product Details

  • R&D Systems HEK293-derived Recombinant SARS-CoV-2 CAL.20C S1 Subunit His Protein (10779-CV)
  • Quality control testing to verify active proteins with lot specific assays by in-house scientists
  • All R&D Systems proteins are covered with a 100% guarantee

Source

HEK293

Accession #

Conjugate

Unconjugated

Applications

Bioactivity

Product Specifications

Source

Human embryonic kidney cell, HEK293-derived sars-cov-2 Spike S1 Subunit protein
Val16-Pro681 (Trp152Cys, Leu452Arg, Asp614Gly), with a C-terminal 6-His tag

Purity

>95%, by SDS-PAGE visualized with Silver Staining and quantitative densitometry by Coomassie® Blue Staining.

Endotoxin Level

<0.10 EU per 1 μg of the protein by the LAL method.

N-terminal Sequence Analysis

Val16

Predicted Molecular Mass

75 kDa

SDS-PAGE

105-117 kDa, under reducing conditions

Activity

Measured by its binding ability in a functional ELISA with Recombinant Human ACE-2 His-tag  (Catalog # 933-ZN).

Scientific Data Images for Recombinant SARS-CoV-2 CAL.20C S1 Subunit His Protein, CF

Recombinant SARS-CoV-2 CAL.20C S1 Subunit His-tag Protein Binding Activity.

Recombinant SARS-CoV-2 CAL.20C Spike S1 Subunit His-tag (Catalog # 10779-CV) binds Recombinant Human ACE-2 His-tag (933-ZN) in a functional ELISA.

Recombinant SARS-CoV-2 CAL.20C S1 Subunit His-tag Protein SDS-PAGE.

2 μg/lane of Recombinant SARS-CoV-2 CAL.20C S1 Subunit His-tag (Catalog # 10779-CV) was resolved with SDS-PAGE under reducing (R) and non-reducing (NR) conditions and visualized by Coomassie® Blue staining, showing bands at 105-117 kDa.
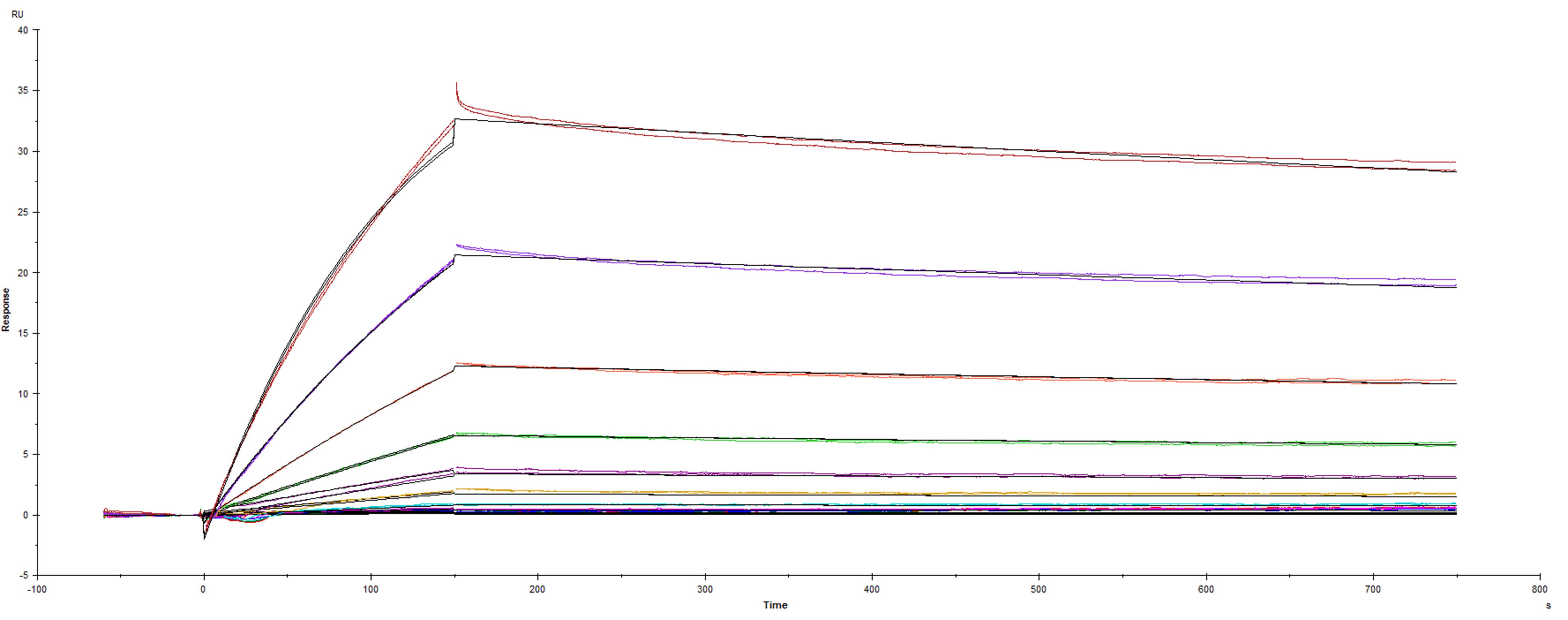
Surface plasmon resonance (SPR) sensorgram of Human ACE-2 binding to SARS-CoV-2 CAL.20C variant Spike protein S1 subunit

Binding of ACE-2 to SARS-CoV-2 CAL.20C variant Spike S1 subunit protein by surface plasmon resonance (SPR).

Recombinant SARS-CoV-2 CAL.20C variant Spike protein S1 subunit was immobilized on a Biacore Sensor Chip CM5, and binding to recombinant human ACE-2 (933-ZN) was measured at a concentration range between 0.046 nM and 47.2 nM. The double-referenced sensorgram was fit to a 1:1 binding model to determine the binding kinetics and affinity, with an affinity constant of KD=1.040 nM.

Formulation, Preparation and Storage

10779-CV
Formulation Lyophilized from a 0.2 μm filtered solution in PBS with Trehalose.
Reconstitution Reconstitute at 500 μg/mL in PBS.
Shipping The product is shipped at ambient temperature. Upon receipt, store it immediately at the temperature recommended below.
Stability & Storage Use a manual defrost freezer and avoid repeated freeze-thaw cycles.
  • 12 months from date of receipt, -20 to -70 °C as supplied.
  • 1 month, 2 to 8 °C under sterile conditions after reconstitution.
  • 3 months, -20 to -70 °C under sterile conditions after reconstitution.

Background: Spike

SARS-CoV-2, which causes the global pandemic coronavirus disease 2019 (Covid-19), belongs to a family of viruses known as coronaviruses that are commonly comprised of four structural proteins: Spike protein(S), Envelope protein (E), Membrane protein (M), and Nucleocapsid protein (N) (1). SARS-CoV-2 Spike Protein (S Protein) is a homotrimeric glycoprotein that mediates membrane fusion and viral entry. As with most coronaviruses, proteolytic cleavage of the SARS-CoV-2 S protein into two distinct peptides, S1 and S2 subunits, is required for activation. The S1 subunit is focused on attachment of the protein to the host receptor while the S2 subunit is involved with cell fusion (2-5). A SARS-CoV-2 variant (named CAL.20C) carrying the S1 subunit amino acid (aa) change W152C, L452R, and D614G emerged in Southern Califonia (6,7). Based on structural biology studies, the receptor binding domain (RBD), located in the C-terminal region of S1, can be oriented either in the up/standing or down/lying state (8). The standing state is associated with higher pathogenicity and both SARS-CoV-1 and MERS can access this state due to the flexibility in their respective RBDs. A similar two-state structure and flexibility is found in the SARS-CoV-2 RBD (9). Based on amino acid (aa) sequence homology, the SARS-CoV-2 S1 subunit has 65% identity with SARS-CoV-1 S1 subunit, but only 22% homology with the MERS S1 subunit. The low aa sequence homology is consistent with the finding that SARS and MERS bind different cellular receptors (10). The S Protein of the SARS-CoV-2 virus, like the SARS-CoV-1 counterpart, binds Angiotensin-Converting Enzyme 2 (ACE-2), but with much higher affinity and faster binding kinetics (11). Before binding to the ACE-2 receptor, structural analysis of the S1 trimer shows that only one of the three RBD domains in the trimeric structure is in the "up" conformation. This is an unstable and transient state that passes between trimeric subunits but is nevertheless an exposed state to be targeted for neutralizing antibody therapy (12). Polyclonal antibodies to the RBD of the SARS-CoV-2 S1 subunit have been shown to inhibit interaction with the ACE-2 receptor, confirming S1 subunit especially the RBD as an attractive target for vaccinations or antiviral therapy (13). There is also promising work showing that the RBD may be used to detect presence of neutralizing antibodies present in a patient's bloodstream, consistent with developed immunity after exposure to the SARS-CoV-2 virus (14). Lastly, it has been demonstrated the S Protein can invade host cells through the CD147/EMMPRIN receptor and mediate membrane fusion (15, 16).

References

  1. Wu, F. et al. (2020) Nature 579:265.
  2. Tortorici, M.A. and D. Veesler (2019) Adv. Virus Res. 105:93.
  3. Bosch, B.J. et al. (2003) J. Virol. 77:8801.
  4. Belouzard, S. et al. (2009) Proc. Natl. Acad. Sci. 106:5871.
  5. Millet, J.K. and G.R. Whittaker (2015) Virus Res. 202:120.
  6. Zhang, W. et al. (2021) JAMA https://doi.org/10.1001/jama.2021.1612.
  7. Zhang, W. et al. (2021). MedRxiv https://doi.org/10.1101/2021.01.18.21249786.
  8. Yuan, Y. et al. (2017) Nat. Commun. 8:15092.
  9. Walls, A.C. et al. (2010) Cell 180:281.
  10. Jiang, S. et al. (2020) Trends. Immunol. https://doi.org/10.1016/j.it.2020.03.007.
  11. Ortega, J. T. et al. (2020) EXCLI J. 19:410.
  12. Wrapp, D. et al. (2020) Science 367:1260.
  13. Tai, W. et al. (2020) Cell. Mol. Immunol. https://doi.org/10.1016/j.it.2020.03.007.
  14. Okba, N.M.A. et al. (2020). Emerg. Infect. Dis. https://doi.org/10.3201/eid2607.200841.
  15. Wang, X. et al. (2020) https://doi.org/10.1038/s41423-020-0424-9.
  16. Wang, K. et al. (2020) ioRxiv https://www.biorxiv.org/content/10.1101/2020.03.14.988345v1.

Long Name

Spike Protein

Alternate Names

S Protein

Entrez Gene IDs

918758 (HCoV-229E); 2943499 (HCoV-NL63); 39105218 (HCoV-OC43); 37616432 (MERS-CoV); 1489668 (SARS-CoV); 43740568 (SARS-CoV-2)

Gene Symbol

S

UniProt

Additional Spike Products

Product Documents for Recombinant SARS-CoV-2 CAL.20C S1 Subunit His Protein, CF

Certificate of Analysis

To download a Certificate of Analysis, please enter a lot number in the search box below.

Note: Certificate of Analysis not available for kit components.

Product Specific Notices for Recombinant SARS-CoV-2 CAL.20C S1 Subunit His Protein, CF

For research use only

Loading...
Loading...
Loading...