Skip to main content

Recombinant Human TIGIT (A103) Fc Chimera Protein, CF

R&D Systems, part of Bio-Techne | Catalog # 7898-TGB

Analyzed by SEC-MALS
R&D Systems, part of Bio-Techne
Catalog #
Availability
Size / Price
Qty
Loading...
7898-TGB-01M
7898-TGB-100

Key Product Details

  • R&D Systems CHO-derived Recombinant Human TIGIT (A103) Fc Chimera Protein (7898-TGB)
  • Quality control testing to verify active proteins with lot specific assays by in-house scientists
  • All R&D Systems proteins are covered with a 100% guarantee

Source

CHO

Accession #

Structure / Form

Disulfide-linked homodimer

Conjugate

Unconjugated

Applications

Bioactivity

Product Specifications

Source

Chinese Hamster Ovary cell line, CHO-derived human TIGIT protein
Human TIGIT
(Met22-Pro141, A103)
Accession # AAI01289
IEGRMD Human IgG1
(Pro100-Lys330)
N-terminus C-terminus

Purity

>90%, by SDS-PAGE visualized with Silver Staining and quantitative densitometry by Coomassie® Blue Staining.

Endotoxin Level

<0.10 EU per 1 μg of the protein by the LAL method.

N-terminal Sequence Analysis

Met22

Predicted Molecular Mass

40 kDa

SDS-PAGE

40-53 kDa, reducing conditions

Activity

Measured by its binding ability in a functional ELISA.
When Recombinant Human CD155/PVR (Catalog # 2530-CD) is coated at 2.5 μg/mL (100 μL/well), the concentration of Recombinant Human TIGIT (A103) Fc Chimera that produces 50% optimal binding response is 40-200 ng/mL.

Reviewed Applications

Read 2 reviews rated 5 using 7898-TGB in the following applications:

Scientific Data Images for Recombinant Human TIGIT (A103) Fc Chimera Protein, CF

Recombinant Human TIGIT (A103) Fc Chimera Protein SEC-MALS.

Recombinant Human TIGIT (A103) Fc Chimera (Catalog # 7898-TGB) has a molecular weight (MW) of 81.6 kDa as analyzed by SEC-MALS, suggesting that this protein is a homodimer.  MW may differ from predicted MW due to post-translational modifications (PTMs) present (i.e. Glycosylation).
Recombinant Human TIGIT Fc Chimera Protein Binding Activity

Recombinant Human TIGIT (A103) Fc Chimera Protein Binding Activity

When Recombinant Human CD155/PVR (2530-CD) is immobilized at 2.5 µg/mL, Recombinant Human TIGIT (A103) Fc Chimera (Catalog # 7898-TGB) binds with an ED50 of 40-200 ng/mL.
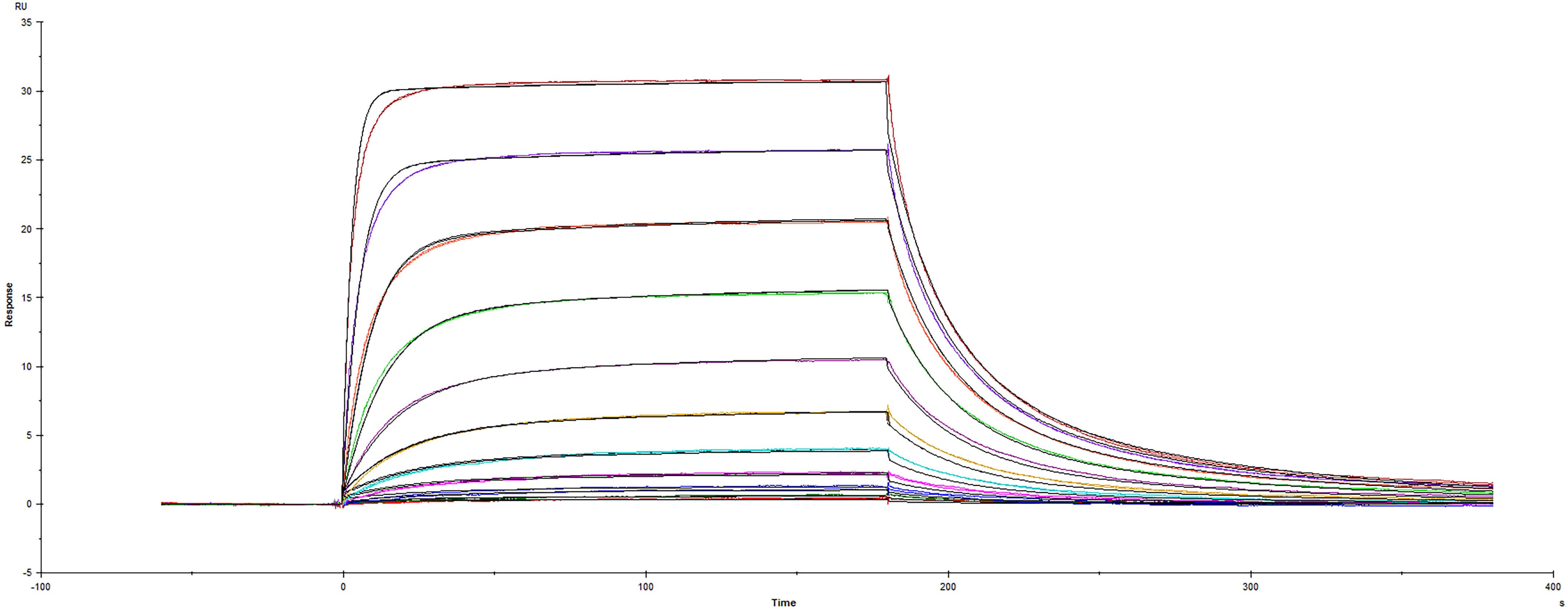
Surface plasmon resonance sensorgram of human CD155/PVR protein binding to human TIGIT

Binding of Human TIGIT to CD155/PVR by surface plasmon resonance (SPR).

Recombinant Human CD155/PVR Fc protein (9174-CD) was immobilized on a Biacore Sensor Chip CM5, and binding to Recombinant Human TIGIT (A103) Fc protein (Catalog # 7898-TGB) was measured at a concentration range between 0.531 nM and 544 nM. The double-referenced sensorgram was fit to a 1:1 binding model to determine the binding kinetics and affinity, with an affinity constant of KD=67.7 nM.

Formulation, Preparation and Storage

7898-TGB
Formulation Lyophilized from a 0.2 μm filtered solution in PBS.
Reconstitution
Reconstitute at 500 μg/mL in PBS.

Reconstitution Buffer Available:
Size / Price
Qty
Loading...
Shipping The product is shipped at ambient temperature. Upon receipt, store it immediately at the temperature recommended below.
Stability & Storage Use a manual defrost freezer and avoid repeated freeze-thaw cycles.
  • 12 months from date of receipt, ≤ -20 °C as supplied.
  • 1 month, 2 to 8 °C under sterile conditions after reconstitution.
  • 3 months, ≤ -20 °C under sterile conditions after reconstitution.

Background: TIGIT

TIGIT (T cell Immunoreceptor with Ig and ITIM domains), also called Vstm3 (V-set and transmembrane domain-containing 3), Vsig9 (V-set and Ig domain-containing 9) and WUCAM (Washington University cell adhesion molecule) is a 30-34 kDa type I transmembrane protein that is a member of the CD28 family within the Ig superfamily of proteins (1-4). Human TIGIT cDNA encodes 244 amino acids (aa) including a 21 aa signal sequence, a 120 aa extracellular region with a V-type Ig-like domain and two potential N-glycosylation site, a 21 aa transmembrane sequence, and an 82 aa cytoplasmic domain with an ITIM motif (5). A 170 aa variant diverges after aa 166 (5). Within the ECD, human TIGIT shares only 68-75% aa sequence identity with mouse, porcine, canine, equine and bovine TIGIT. TIGIT is expressed on NK cells and subsets of activated, memory and regulatory T cells, and particularly on follicular helper T cells within secondary lymphoid organs (1, 2, 6-8). It binds to CD155/PVR/Necl-5 and Nectin-2/CD112/PVRL2 that appear on dendritic cells (DC) and endothelium (1-3, 7). Binding of TIGIT by DC induces IL-10 release and inhibits IL-12 production (2). Ligation of TIGIT on T cells down‑regulates TCR-mediated activation and subsequent proliferation, while NK cell TIGIT ligation blocks NK cell cytotoxicity (6-8). Through CD155 and Nectin-2, which also interact with DNAM-1/CD226 and CD96/Tactile, TIGIT is part of an interacting network of Ig superfamily members that may augment or oppose each other (3, 4, 6, 7). In particular, TIGIT binding to CD155 can antagonize the effects of DNAM-1 (6, 7). Soluble TIGIT is able to compete with DNAM-1 for CD155 binding and attenuates T cell responses, while mice lacking TIGIT show increased T cell responses and susceptibility to autoimmune challenges (2, 3, 8).

References

  1. Boles, K.S. et al. (2009) Eur. J. Immunol. 39:695.
  2. Yu, X. et al. (2009) Nat. Immunol. 10:48.
  3. Levin, S.D. et al. (2011) Eur. J. Immunol. 41:902.
  4. Xu, Z. et al. (2010) Cell. Mol. Immunol. 7:11.
  5. SwissProt Accession # Q495A1.
  6. Seth, S. et al. (2009) Eur. J. Immunol. 39:3160.
  7. Stanietsky, N. et al. (2009) Proc. Natl. Acad. Sci. USA 106:17858.
  8. Joller, N. et al. (2011) J. Immunol. 83:1338.

Long Name

T Cell Immunoreceptor with Ig and ITIM Domains

Alternate Names

VSIG9, VSTM3, WUCAM

Entrez Gene IDs

201633 (Human); 100043314 (Mouse); 363784 (Rat); 102121588 (Cynomolgus Monkey)

Gene Symbol

TIGIT

UniProt

Additional TIGIT Products

Product Documents for Recombinant Human TIGIT (A103) Fc Chimera Protein, CF

Certificate of Analysis

To download a Certificate of Analysis, please enter a lot number in the search box below.

Note: Certificate of Analysis not available for kit components.

Product Specific Notices for Recombinant Human TIGIT (A103) Fc Chimera Protein, CF

For research use only

Loading...
Loading...
Loading...