Skip to main content

Recombinant Human PD-L2/B7-DC His-tag Protein, CF

R&D Systems, part of Bio-Techne | Catalog # 9075-PL

R&D Systems, part of Bio-Techne
Catalog #
Availability
Size / Price
Qty
Loading...
9075-PL-01M
9075-PL-100

Key Product Details

  • R&D Systems HEK293-derived Recombinant Human PD-L2/B7-DC His-tag Protein (9075-PL)
  • Quality control testing to verify active proteins with lot specific assays by in-house scientists
  • All R&D Systems proteins are covered with a 100% guarantee

Source

HEK293

Accession #

Conjugate

Unconjugated

Applications

Bioactivity

Product Specifications

Source

Human embryonic kidney cell, HEK293-derived human PD-L2/B7-DC protein
Leu20-Pro219, with a C-terminal 6-His tag

Purity

>95%, by SDS-PAGE visualized with Silver Staining and quantitative densitometry by Coomassie® Blue Staining.

Endotoxin Level

<0.10 EU per 1 μg of the protein by the LAL method.

N-terminal Sequence Analysis

Leu20

Predicted Molecular Mass

23 kDa

SDS-PAGE

29-47 kDa, reducing conditions

Activity

Measured by its binding ability in a functional ELISA.
When Recombinant Human PD‑L2/B7‑DC is immobilized at 1 µg/mL (100 µL/well), the concentration of Recombinant Human PD‑1 Fc Chimera (Catalog # 1086-PD) that produces 50% of the optimal binding response is 0.08-0.4 μg/mL.

Scientific Data Images for Recombinant Human PD-L2/B7-DC His-tag Protein, CF

Recombinant Human PD-L2/B7-DC His-tag Protein Binding Activity

Recombinant Human PD-L2/B7-DC His-tag Protein Binding Activity

When Recombinant Human PD-L2/B7-DC is immobilized at 1 µg/mL, Recombinant Human PD-1 Fc Chimera (Catalog # 1086-PD) binds with an ED50 of 0.08-0.4 µg/mL.
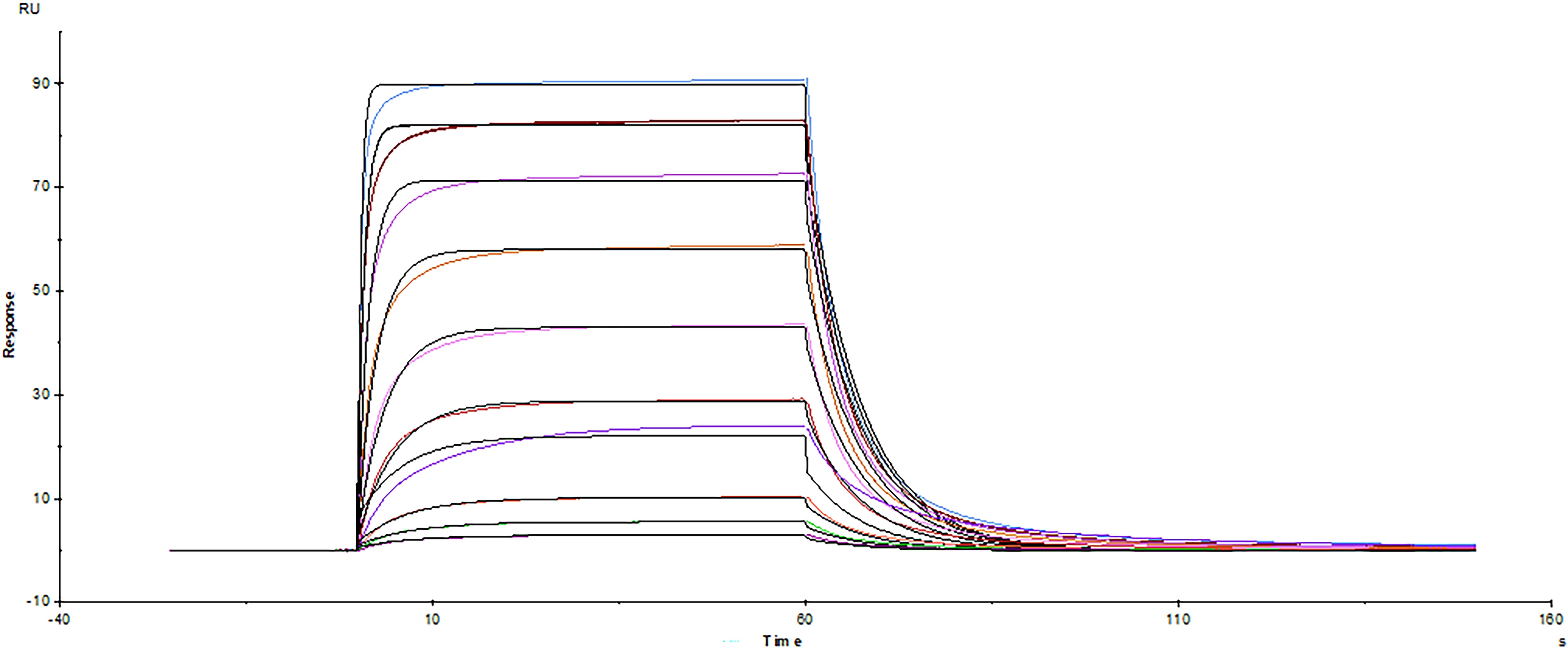
Surface plasmon resonance sensorgram of Avi-tag biotinylated human PD-1 protein binding to human PD-L2

Binding of Human PD-L2 to PD-1 His Avi-tag Protein by surface plasmon resonance (SPR).

Avi-tag Biotinylated Recombinant Human PD-1 His protein (AVI8986) was immobilized on a Biacore Sensor Chip CM5 via the Avi-tag biotin, and binding to Recombinant Human PD-L2 His protein (Catalog # 9075-PL) was measured at a concentration range between 5.07 nM and 2.60 µM. The double-referenced sensorgram was fit to a 1:1 binding model to determine the binding kinetics and affinity, with an affinity constant of KD=0.173 µM.

Formulation, Preparation and Storage

9075-PL
Formulation Lyophilized from a 0.2 μm filtered solution in PBS.
Reconstitution
Reconstitute at 500 μg/mL in PBS.

Reconstitution Buffer Available:
Size / Price
Qty
Loading...
Shipping The product is shipped at ambient temperature. Upon receipt, store it immediately at the temperature recommended below.
Stability & Storage Use a manual defrost freezer and avoid repeated freeze-thaw cycles.
  • 12 months from date of receipt, -20 to -70 °C as supplied.
  • 1 month, 2 to 8 °C under sterile conditions after reconstitution.
  • 3 months, -20 to -70 °C under sterile conditions after reconstitution.

Background: PD-L2/B7-DC

Programmed Death Ligand 2 (PD-L2), also known as B7-DC and butyrophilin-like protein, is a member of the B7 family of proteins that provide signals for regulating T-cell activation and tolerance (1). Mature human PD-L2 consists of a 201 amino acid (aa) extracellular domain (ECD) with one V-like and one C-like Ig domain, a 21 aa transmembrane segment, and a 32 aa cytoplasmic domain (2, 3). Within the ECD, mouse and human PD-L2 share 72% aa sequence identity. Alternative splicing generates additional isoforms that lack the second Ig-like domain and may be substituted and truncated following the first Ig-like domain (4). PD-L2 is expressed on dendritic cells, subsets of activated CD4+ and CD8+ T cells, and memory B cells that differentiate into plasma cells (3, 5, 6). At inflammatory sites such as rheumatoid arthritis, allergen exposure, and virus infection, PD-L2 is up-regulated on synoviocytes, infiltrating macrophages, dendritic cells, and airway epithelial cells (7-11). PD-L2, along with B7-H1/PD-L1, binds to T cell PD-1 where it promotes IFN-gamma production and CD40 Ligand up-regulation while inhibiting IL-4 production (2, 3, 12, 13). In addition, PD-L2 binds to RGM-B on macrophages and alveolar epithelial cells, supporting respiratory immune tolerance (14). In asthma, PD-L2 suppresses IL-5 and IL-13 production, promotes IL-12 production by dendritic cells, and supports allergen-induced airway hyper-responsiveness and mucus production (9, 11).

References

  1. Ceeraz, S. et al. (2013) Trends Immunol. 34:556.
  2. Latchman, Y. et al. (2001) Nat. Immunol. 2:261.
  3. Tseng, S.-Y. et al. (2001) J. Exp. Med. 193:839.
  4. He, X.-H. et al. (2004) Acta Biochim. Biophys. Sinica 36:284.
  5. Messal, N. et al. (2011) Mol. Immunol. 48:2214.
  6. Zuccarino-Catania, G.V. et al. (2014) Nat. Immunol. 15:631.
  7. Guo, G. et al. (2012) Clin. Rheumatol. 31:271.
  8. Loke, P. and J.P. Allison (2003) Proc. Natl. Acad. Sci. USA 100:5336.
  9. Matsumoto, K. et al. (2004) J. Immunol. 172:2530.
  10. Stanciu, L.A. et al. (2006) J. Infec. Dis. 193:404.
  11. Lewkowich, I.P. et al. (2013) Mucosal Immun. 6:728.
  12. Ghiotto, M. et al. (2010) Int. Immunol. 22:651.
  13. Shin, T. et al. (2003) J. Exp. Med. 198:31.
  14. Xiao, Y. et al. (2014) J. Exp. Med. 211:943.

Long Name

Programmed Death-1 Ligand-2

Alternate Names

B7-DC, Butyrophilin-like Protein, CD273, PDCD1LG2, PDL2

Entrez Gene IDs

80380 (Human); 58205 (Mouse); 309304 (Rat); 102146227 (Cynomolgus Monkey)

Gene Symbol

PDCD1LG2

UniProt

Additional PD-L2/B7-DC Products

Product Documents for Recombinant Human PD-L2/B7-DC His-tag Protein, CF

Certificate of Analysis

To download a Certificate of Analysis, please enter a lot number in the search box below.

Note: Certificate of Analysis not available for kit components.

Product Specific Notices for Recombinant Human PD-L2/B7-DC His-tag Protein, CF

For research use only

Loading...
Loading...
Loading...