Skip to main content

Recombinant Human IL-7 Protein, Animal-Free Best Seller

R&D Systems, part of Bio-Techne | Catalog # BT-007-AFL

Intended for preclinical researchers who may transition to GMP IL-7 for their clinical work
R&D Systems, part of Bio-Techne
Catalog #
Availability
Size / Price
Qty
Loading...
Lyophilized
BT-007-AFL-01M
BT-007-AFL-025

Catalog #
Availability
Size / Price
Qty
Liquid
BT-007-AFL-025/LQ

Key Product Details

Source

E. coli

Accession #

Conjugate

Unconjugated

Applications

Bioactivity

Product Specifications

Source

E. coli-derived human IL-7 protein
Asp26-His177, with an N-terminal Met
Produced using non-animal reagents in an animal-free laboratory.

Purity

>97%, by SDS-PAGE with quantitative densitometry by Coomassie® Blue Staining.

Endotoxin Level

<0.10 EU per 1 μg of the protein by the LAL method.

N-terminal Sequence Analysis

Met

Predicted Molecular Mass

17 kDa

SDS-PAGE

17 kDa, under reducing conditions.

Activity

Measured in a cell proliferation assay using PHA-activated human peripheral blood lymphocytes (PBL). Yokota, T. et al. (1986) Proc. Natl. Acad. Sci. USA 83:5894.
The ED50 for this effect is 0.100-0.500 ng/mL.The specific activity of Recombinant Human IL-7 is >1.00 x 108 units/mg, which is calibrated against the human IL-7 reference standard (NIBSC code: 90/530).

Scientific Data Images for Recombinant Human IL-7 Protein, Animal-Free

Animal-Free™ Recombinant Human IL‑7 Protein SEC-MALS.

Animal-Free™ Recombinant Human IL‑7 (Catalog # BT-007-AFL) has a molecular weight (MW) of 18.0 kDa as analyzed by SEC-MALS, suggesting that this protein is a monomer.

Recombinant Human IL-7 Protein, Animal-Free Protein Bioactivity.

The bioactivity of Recombinant Human IL-7 Protein, Animal Free (Catalog # BT-007-AFL) stimulates proliferation of PHA-activated human peripheral blood lymphocytes in a dose-dependent manner. The ED50 for this effect is 0.100-0.500 ng/mL.

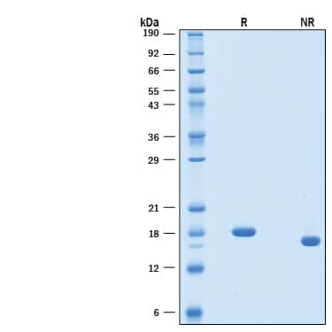
Recombinant Human IL-7 Animal-Free Protein SDS-PAGE.

2 μg/lane of Recombinant Human IL-7 Animal-Free Protein (Catalog # BT-007-AFL) was resolved with SDS-PAGE under reducing (R) and non-reducing (NR) conditions and visualized by Coomassie® Blue staining, showing a single band at 17 kDa.

Formulation, Preparation and Storage

Lyophilized: BT-007-AFL
Formulation Lyophilized from a 0.2 μm filtered solution in PBS with Trehalose.
Reconstitution Reconstitute at 100 - 500 μg/mL in PBS.
Shipping The product is shipped at ambient temperature. Upon receipt, store it immediately at the temperature recommended below.
Stability & Storage Use a manual defrost freezer and avoid repeated freeze-thaw cycles.
  • 12 months from date of receipt, -20 to -70 °C as supplied.
  • 1 month, 2 to 8 °C under sterile conditions after reconstitution.
  • 3 months, -20 to -70 °C under sterile conditions after reconstitution.
Liquid: BT-007-AFL/LQ
Formulation Supplied as a 0.2 μm filtered solution in PBS.
Shipping The product is shipped with dry ice or equivalent. Upon receipt, store it immediately at the temperature recommended below.
Stability & Storage Use a manual defrost freezer and avoid repeated freeze-thaw cycles.
  • 12 months from date of receipt, ≤ -65 °C as supplied.
  • 1 month, 2 to 8 °C under sterile conditions after opening.
  • 3 months, ≤ -20 °C under sterile conditions after opening.

Background: IL-7

IL-7 (interleukin-7) is a 25 kDa cytokine of the hemopoietin family that plays important roles in lymphocyte differentiation, proliferation, and survival (1-4). Human IL‑7 cDNA encodes 177 amino acids (aa) that include a 25 aa signal peptide (3). Human IL-7 shares approximately 60-63% aa sequence identity with mouse, rat, canine and feline IL-7, and 72-76% with equine, bovine, ovine, and porcine IL-7. Human and mouse IL-7 exhibit cross-species activity (2, 3). 

IL-7 is produced by a wide variety of cells in primary and secondary lymphoid tissues, including stromal epithelial cells of the thymus, bone marrow, and intestines (1, 2, 5). Circulating IL-7 is limiting in healthy animals, but increases during lymphopenia (1, 6). IL-7 signals through a complex of the IL-7 Receptor alpha subunit (IL-7 R alpha, also known as CD127) with the common gamma chain ( gammac) (1). 

The gammac is also a subunit of the receptors for IL-2, -4, -9, -15, and -21 (1). IL-7 R alpha is expressed on double negative (CD4-CD8-) and single positive (CD4+ or CD8+) naïve and memory T cells, but undergoes IL-7-mediated down‑regulation and shedding during antigen-driven T cell proliferation, and is absent on regulatory T cells (1, 2, 6-11). IL-7 contributes to the maintenance of all naïve and memory T cells, mainly by promoting expression of the anti-apoptotic protein Bcl-2 (9-11). It is required for optimal T cell-dendritic cell interaction (6). IL-7 is expressed early in B cell development prior to the appearance of surface IgM (1, 5, 9). In mouse, IL-7 activation of IL-7 R alpha is critical for both T cell and B cell lineage development, while in humans, it is required for T cell but not for B cell development (4, 9, 12, 13). However, IL-7 functions in both mouse and human pro-B cells to suppress premature Ig light chain recombination during proliferative growth (14, 15). 

Like other common gamma-chain cytokines like IL-2 and IL-15, IL-7 and its receptor, IL-7R, have been used in a variety of immunotherapy applications, often in fluid tumors and in some instances of solid tumor models (16). Sometimes use of recombinant IL-7 is preferential as current studies and early clinical trials of cancer have found less severe toxicity or side effects upon treatment with IL-7 in comparison to IL-15 or IL-2 (16). 

In CAR-T cell therapies, enhanced expression and secretion of human IL-7 and CCL19 have enhanced the ability of T cells to expand and migrate in vitro (17). Engineered CAR T cells expressing IL-7 or a constitutively active IL-7R results in increased efficacy of CAR T anti-tumor effects (16, 18). IL-7 is also frequently used in combination with IL-15 as a supplement in cell culture of CAR T cells to support their expansion (19). Additionally, IL-7/IL-15 in the presence of cord blood-derived T cells helps to maintain their early differentiation state (20). Monoclonal antibodies against IL-7R or small molecule inhibitors against the IL-7R signaling pathway are commonly used in circumstances of autoimmune diseases to delay disease progression (16).  Also due to its ability to stimulate both adaptive and innate immune cells, treatment with IL-7 has shown improved survival in patients with sepsis who are at risk of deadly secondary infections (21), providing evidence for IL-7 applications beyond cancer immunotherapy.

References

  1. Sasson, S.C. et al. (2006) Curr. Drug Targets 7:1571.
  2. Barata, J.T. et al. (2006) Exp. Hematol. 34:1133.
  3. Goodwin, R.G. et al. (1990) Proc. Natl. Acad. Sci. USA 86:302.
  4. Namen, A.E. et al. (1988) Nature 333:571.
  5. Shalapour, S. et al. (2012) PLoS ONE 7: e31939.
  6. Saini, M. et al. (2009) Blood 113:5793.
  7. Park, J.H. et al. (2004) Immunity 21:289.
  8. Vranjkovic, A. et al. (2007) Int. Immunol. 19:1329.
  9. Sudo, T. et al. (1993) Proc. Natl. Acad. Sci. 90:9125.
  10. Seddon, B. et al. (2003) Nat. Immunol. 4:680.
  11. Schluns, K.S. et al. (2000) Nat. Immunol. 5:426.
  12. Peschon, J.J. et al. (1994) J. Exp. Med. 180:1955.
  13. Pribyl, J.A. and T.W. LeBien (1996) Proc. Natl. Acad. Sci. 93:10348.
  14. Johnson, K. et al. (2012) J. Immunol. 188:6084.
  15. Nodland, S.E. et al. (2011) Blood 118:2116.
  16. Wang, C. et al. (2022) Int. J. Mol. Sci. 23:10370.
  17. Pang, N. et al. (2021) J Hematol Oncol. 14:118.
  18. Li, L. et al. (2022) Sci Rep. 12:12506.
  19. Xu, Y. et al. (2014) Blood. 123:3750.
  20. Marton, C. et al. (2022) Cancer Gene Ther. 29:961.
  21. Winer, H. et al. (2022) Cytokine. 160:156049.

Long Name

Interleukin 7

Alternate Names

IL7, Lymphopoietin-1, PBGF

Entrez Gene IDs

3574 (Human); 16196 (Mouse); 25647 (Rat)

Gene Symbol

IL7

UniProt

Additional IL-7 Products

Product Documents for Recombinant Human IL-7 Protein, Animal-Free

Certificate of Analysis

To download a Certificate of Analysis, please enter a lot number in the search box below.

Note: Certificate of Analysis not available for kit components.

Manufacturing Specifications

Animal-Free Manufacturing Conditions
Our dedicated controlled-access animal-free laboratories ensure that at no point in production are the products exposed to potential contamination by animal components or byproducts. Every stage of manufacturing is conducted in compliance with R&D Systems' stringent Standard Operating Procedures (SOPs). Production and purification procedures use equipment and media that are confirmed animal-free.  

 Production

  • All molecular biology procedures use animal-free media and dedicated labware.
  • Dedicated fermentors are utilized in committed animal-free areas.

Purification

  • Protein purification columns are animal-free.
  • Bulk proteins are filtered using animal-free filters.
  • Purified proteins are stored in animal-free containers in a dedicated cold storage room.

    Quality Assurance

    • Low Endotoxin Level.
    • No impairment of biological activity.
    • High quality product obtained under stringent conditions.
    • For ex vivo research or bioproduction, additional documentation can be provided.

    Please read our complete Animal-Free Statement

    Product Specific Notices for Recombinant Human IL-7 Protein, Animal-Free

    For research use only

    Loading...
    Loading...
    Loading...