Skip to main content

Recombinant Human PD-1 His Tagged Protein, CF Best Seller

R&D Systems, part of Bio-Techne | Catalog # 8986-PD

Analyzed by SEC-MALS
R&D Systems, part of Bio-Techne
Catalog #
Availability
Size / Price
Qty
Loading...
8986-PD-100

Key Product Details

  • R&D Systems HEK293-derived Recombinant Human PD-1 His Tagged Protein (8986-PD)
  • Quality control testing to verify active proteins with lot specific assays by in-house scientists
  • All R&D Systems proteins are covered with a 100% guarantee

Source

HEK293

Accession #

Conjugate

Unconjugated

Applications

Bioactivity

Product Specifications

Source

Human embryonic kidney cell, HEK293-derived human PD-1 protein
Leu25-Thr168, with a C-terminal 6-His tag

Purity

>95%, by SDS-PAGE visualized with Silver Staining and quantitative densitometry by Coomassie® Blue Staining.

Endotoxin Level

<0.10 EU per 1 μg of the protein by the LAL method.

N-terminal Sequence Analysis

Leu25

Predicted Molecular Mass

17 kDa

SDS-PAGE

32 - 44 kDa, under reducing conditions.

Activity

Measured by its binding ability in a functional ELISA.
When Recombinant Human PD-1 is immobilized at 1 µg/mL (100 µL/well), the concentration of Recombinant Human B7-H1/PD-L1 Fc Chimera (Catalog # 156-B7) that produces 50% of the optimal binding response is approximately 0.3-1.8 μg/mL.

Reviewed Applications

Read 11 reviews rated 4.8 using 8986-PD in the following applications:

Scientific Data Images for Recombinant Human PD-1 His Tagged Protein, CF

Recombinant Human PD‑1 His-tagged Protein SEC-MALS.

Recombinant Human PD-1 (Catalog # 8986-PD) has a molecular weight (MW) of 26.6 kDa as analyzed by SEC-MALS, suggesting that this protein is a monomer.  MW may differ from predicted MW due to post-translational modifications (PTMs) present (i.e. Glycosylation).
Graph showing bioactivity of Human PD-1 protein

Bioactivity of Human PD-1

When recombinant human PD-1 (8986-PD) is immobilized at 1 µg/mL (100 µL/well), the concentration of recombinant human PD-L1 (B7-H1) Fc Chimera (156-B7) that produces 50% of the optimal binding response is approximately 0.3-1.8 μg/mL.
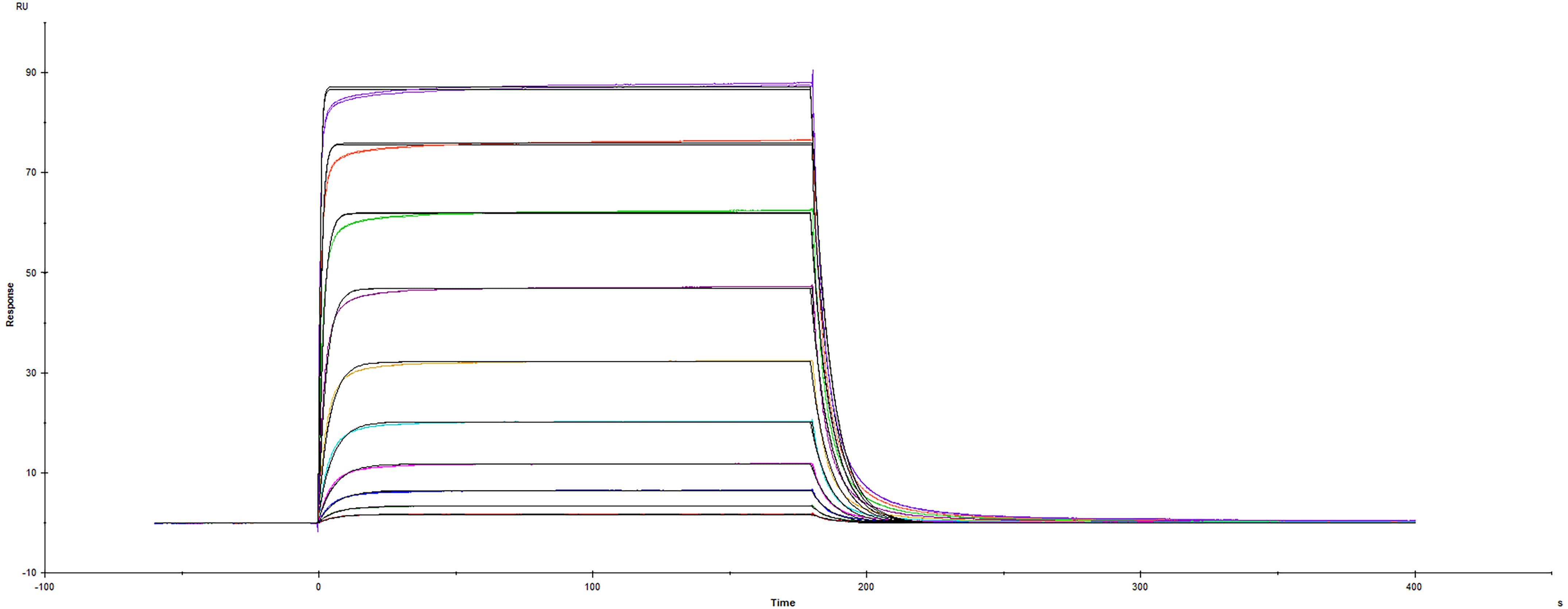
Surface plasmon resonance sensorgram of human PD-L1 protein binding to human PD-1

Binding of Human PD-1 to PD-L1/B7-H1 by surface plasmon resonance (SPR).

Recombinant Human PD-L1/B7-H1 Fc protein (156-B7) was immobilized on a Biacore Sensor Chip CM5, and binding to Recombinant Human PD-1 His protein (Catalog # 8986-PD) was measured at a concentration range between 6.0 nM and 3.05 uM. The double-referenced sensorgram was fit to a 1:1 binding model to determine the binding kinetics and affinity, with an affinity constant of KD=1.70 uM.

Formulation, Preparation and Storage

8986-PD
Formulation Lyophilized from a 0.2 μm filtered solution in PBS.
Reconstitution
Reconstitute at 400 μg/mL in PBS.

Reconstitution Buffer Available:
Size / Price
Qty
Loading...
Shipping The product is shipped at ambient temperature. Upon receipt, store it immediately at the temperature recommended below.
Stability & Storage Use a manual defrost freezer and avoid repeated freeze-thaw cycles.
  • 12 months from date of receipt, -20 to -70 °C as supplied.
  • 1 month, 2 to 8 °C under sterile conditions after reconstitution.
  • 3 months, -20 to -70 °C under sterile conditions after reconstitution.

Background: PD-1

Programmed Death-1 receptor (PD-1), also known as CD279, is type I transmembrane protein belonging to the CD28 family of immune regulatory receptors (1). Other members of this family include CD28, CTLA-4, ICOS, and BTLA (2-5). Mature human PD-1 consists of a 148 amino acid (aa) extracellular region (ECD) with one immunoglobulin-like V-type domain, a 24 aa transmembrane domain, and a 95 aa cytoplasmic region. The human PD-1 ECD shares 65% aa sequence identity with the mouse PD-1 ECD. The cytoplasmic tail contains two tyrosine residues that form the immunoreceptor tyrosine-based inhibitory motif (ITIM) and immunoreceptor tyrosine-based switch motif (ITSM) that are important for mediating PD-1 signaling. PD-1 acts as a monomeric receptor and interacts in a 1:1 stoichiometric ratio with its ligands PD-L1 (B7-H1) and PD-L2 (B7-DC) (6, 7). PD‑1 is expressed on activated T cells, B cells, monocytes, and dendritic cells while PD-L1 expression is constitutive on the same cells and also on nonhematopoietic cells such as lung endothelial cells and hepatocytes (8, 9). Ligation of PD-L1 with PD-1 induces co-inhibitory signals on T cells promoting their apoptosis, anergy, and functional exhaustion (10). Thus, the PD-1: PD-L1 interaction is a key regulator of the threshold of immune response and peripheral immune tolerance (11). Finally, blockade of the PD-1: PD-L1 interaction by either antibodies or genetic manipulation accelerates tumor eradication and shows potential for improving cancer immunotherapy (12, 13, 14).

References

  1. Ishida, Y. et al. (1992) EMBO J. 11:3887.
  2. Sharpe, A.H. and G. J. Freeman (2002) Nat. Rev. Immunol. 2:116.
  3. Coyle, A. and J. Gutierrez-Ramos (2001) Nat. Immunol. 2:203.
  4. Nishimura, H. and T. Honjo (2001) Trends Immunol. 22:265.
  5. Watanabe, N et al. (2003) Nat. Immunol. 4:670.
  6. Zhang, X. et al. (2004) Immunity 20:337.
  7. Lázár-Molnár, E. et al. (2008) Proc. Natl. Acad. Sci. USA 105:10483.
  8. Nishimura, H et al. (1996) Int. Immunol. 8:773.
  9. Keir, M.E. et al. (2008) Annu. Rev. Immunol. 26:677.
  10. Butte, M.J. et al. (2007) Immunity 27:111.
  11. Okazaki, T. et al. (2013) Nat. Immunol. 14:1212.
  12. Iwai, Y. et al. (2002) Proc. Natl. Acad. Sci. USA 99: 12293.
  13. Nogrady, B. (2014) Nature 513:S10.
  14. Swaika, A. et al. (2015) Mol. Immunol. 67: 4

Long Name

Programmed Death-1

Alternate Names

CD279, PD1, PDCD1, SLEB2

Entrez Gene IDs

5133 (Human); 18566 (Mouse); 301626 (Rat); 100533201 (Porcine); 486213 (Canine); 102123659 (Cynomolgus Monkey)

Gene Symbol

PDCD1

UniProt

Additional PD-1 Products

Product Documents for Recombinant Human PD-1 His Tagged Protein, CF

Certificate of Analysis

To download a Certificate of Analysis, please enter a lot number in the search box below.

Note: Certificate of Analysis not available for kit components.

Product Specific Notices for Recombinant Human PD-1 His Tagged Protein, CF

For research use only

Loading...
Loading...
Loading...