Skip to main content

Recombinant SARS-CoV-2 20C-US S1 Subunit His-tag Protein, CF

R&D Systems, part of Bio-Techne | Catalog # 10778-CV

D614G, Q677H
R&D Systems, part of Bio-Techne
Catalog #
Availability
Size / Price
Qty
Loading...
10778-CV-100

Key Product Details

  • R&D Systems HEK293-derived Recombinant SARS-CoV-2 20C-US S1 Subunit His-tag Protein (10778-CV)
  • Quality control testing to verify active proteins with lot specific assays by in-house scientists
  • All R&D Systems proteins are covered with a 100% guarantee

Source

HEK293

Accession #

Conjugate

Unconjugated

Product Specifications

Source

Human embryonic kidney cell, HEK293-derived sars-cov-2 Spike S1 Subunit protein
Val16-Pro681 (Asp614Gly, Gln677His), with a C-terminal 6-His tag

Purity

>95%, by SDS-PAGE visualized with Silver Staining and quantitative densitometry by Coomassie® Blue Staining.

Endotoxin Level

<0.10 EU per 1 μg of the protein by the LAL method.

N-terminal Sequence Analysis

Protein identity confirmed by mass spectrometry

Predicted Molecular Mass

75 kDa

SDS-PAGE

105-117 kDa, under reducing conditions

Activity

Measured by its binding ability in a functional ELISA with Recombinant Human ACE-2 His-tag  (Catalog # 933-ZN).

Scientific Data Images for Recombinant SARS-CoV-2 20C-US S1 Subunit His-tag Protein, CF

Recombinant SARS-CoV-2 20C-US S1 Subunit His-tag Protein Binding Activity.

Recombinant SARS-CoV-2 20C-US Spike S1 Subunit His-tag (Catalog # 10778-CV) binds Recombinant Human ACE-2 His-tag (933-ZN) in a functional ELISA.

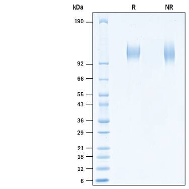
Recombinant SARS-CoV-2 20C-US S1 Subunit His-tag Protein SDS-PAGE.

2 μg/lane of Recombinant SARS-CoV-2 20C-US S1 Subunit His-tag (Catalog # 10778-CV) was resolved with SDS-PAGE under reducing (R) and non-reducing (NR) conditions and visualized by Coomassie® Blue staining, showing bands at 105-117 kDa.
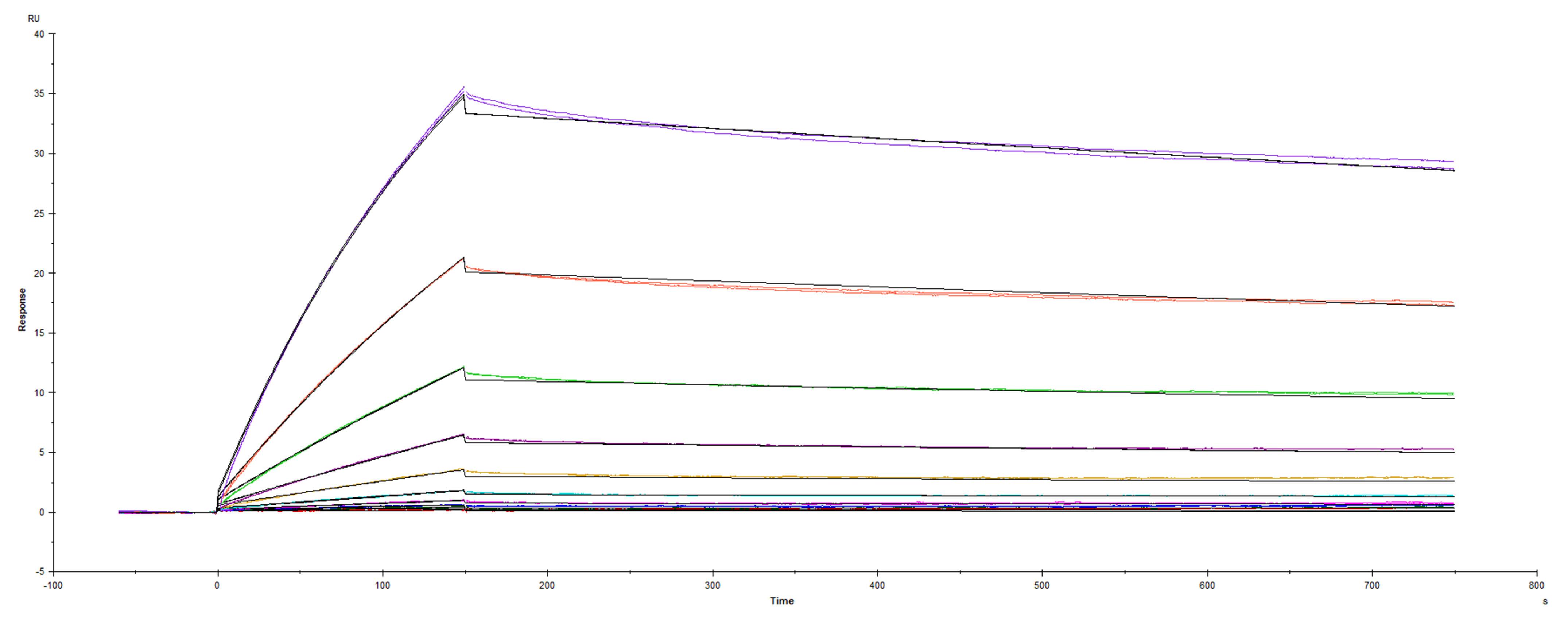
Surface plasmon resonance (SPR) sensorgram of Human ACE-2 binding to SARS-CoV-2 Spike protein S1 subunit D614G Q677H Spike mutant

Binding of ACE-2 to SARS-CoV-2 Spike S1 subunit protein with D614G Q677H mutations by surface plasmon resonance (SPR).

Recombinant SARS-CoV-2 Spike protein mutant S1subunit D614G Q677H His-tag was immobilized on a Biacore Sensor Chip CM5, and binding to recombinant human ACE-2 (933-ZN) was measured at a concentration range between 0.092 nM and 47.2 nM. The double-referenced sensorgram was fit to a 1:1 binding model to determine the binding kinetics and affinity, with an affinity constant of KD=2.129 nM.

Formulation, Preparation and Storage

10778-CV
Formulation Lyophilized from a 0.2 μm filtered solution in PBS with Trehalose.
Reconstitution Reconstitute at 500 μg/mL in PBS.
Shipping The product is shipped at ambient temperature. Upon receipt, store it immediately at the temperature recommended below.
Stability & Storage Use a manual defrost freezer and avoid repeated freeze-thaw cycles.
  • 12 months from date of receipt, -20 to -70 °C as supplied.
  • 1 month, 2 to 8 °C under sterile conditions after reconstitution.
  • 3 months, -20 to -70 °C under sterile conditions after reconstitution.

Background: Spike S1 Subunit

SARS-CoV-2, which causes the global pandemic coronavirus disease 2019 (Covid-19), belongs to a family of viruses known as coronaviruses that are commonly comprised of four structural proteins: Spike protein (S), Envelope protein (E), Membrane protein (M), and Nucleocapsid protein (N) (1). SARS-CoV-2 Spike Protein (S Protein) is a glycoprotein that mediates membrane fusion and viral entry. The S protein is homotrimeric, with each ~180-kDa monomer consisting of two subunits, S1 and S2 (2). In SARS-CoV-2, as with most coronaviruses, proteolytic cleavage of the S protein into the S1 and S2 subunits is required for activation. The S1 subunit is focused on attachment of the protein to the host receptor while the S2 subunit is involved with cell fusion (3-5). The S1 protein of SARS-CoV-2 shares 65% and 22% amino acid (aa) sequence identity with the S1 protein of SARS-CoV-1 and MERS, respectively. The S Protein of the SARS-CoV-2 virus, like the SARS-CoV-1 counterpart, binds Angiotensin-Converting Enzyme 2 (ACE2), but with much higher affinity and faster binding kinetics through the receptor binding domain (RBD) located in the C-terminal region of S1 (6). Based on structural biology studies, the RBD can be oriented either in the up/standing or down/lying state with the up/standing state associated with higher pathogenicity (7). Polyclonal antibodies to the RBD of the SARS-CoV-2 S1 protein have been shown to inhibit interaction with the ACE2 receptor, confirming RBD as an attractive target for vaccinations or antiviral therapy (8). It has been demonstrated that the S Protein can invade host cells through the CD147/EMMPRIN receptor and mediate membrane fusion (9, 10). 20C.US is a SARS-CoV-2 variant that was first identified late May 2020 and become the most dominant strain in the US. It has not spread to regions outside the US yet. Among other signature point mutations, two of them are found in the S protein (D614G and Q677H) (11).

References

  1. Wu, F. et al. (2020) Nature 579:265.
  2. Tortorici, M.A. and D. Veesler (2019) Adv. Virus Res. 105:93.
  3. Bosch, B.J. et al. (2003). J. Virol. 77:8801.
  4. Belouzard, S. et al. (2009) Proc. Natl. Acad. Sci. 106:5871.
  5. Millet, J.K. and G.R. Whittaker (2015) Virus Res. 202:120.
  6. Ortega, J.T. et al. (2020) EXCLI J. 19:410.
  7. Yuan, Y. et al. (2017) Nat. Commun. 8:15092.
  8. Tai, W. et al. (2020) Cell. Mol. Immunol. https://doi.org/10.1016/j.it.2020.03.007.
  9. Wang, X. et al. (2020) https://doi.org/10.1038/s41423-020-0424-9.
  10. Wang, K. et al. (2020) bioRxiv https://www.biorxiv.org/content/10.1101/2020.03.14.988345v1.
  11. Pater, A. et al. (2021) bioRxiv https://doi.org/10.1101/2021.01.11.426287.

Long Name

Spike Protein, S1 Subunit

Alternate Names

SARS-CoV-2

UniProt

Additional Spike S1 Subunit Products

Product Documents for Recombinant SARS-CoV-2 20C-US S1 Subunit His-tag Protein, CF

Certificate of Analysis

To download a Certificate of Analysis, please enter a lot number in the search box below.

Note: Certificate of Analysis not available for kit components.

Product Specific Notices for Recombinant SARS-CoV-2 20C-US S1 Subunit His-tag Protein, CF

For research use only

Loading...
Loading...
Loading...