Recombinant Human Fc gamma RIIIA (F176) His Avi Protein, CF
R&D Systems, part of Bio-Techne | Catalog # AVI8894
Key Product Details
- R&D Systems HEK293-derived Recombinant Human Fc gamma RIIIA (F176) His Avi Protein (AVI8894)
- Quality control testing to verify active proteins with lot specific assays by in-house scientists
- All R&D Systems proteins are covered with a 100% guarantee
Source
Accession #
Structure / Form
Conjugate
Applications
Product Specifications
Source
| Human
Fc gamma RIIIA (F176) (Gly17-Gln208) Accession # P08637-1 |
HHHHHHH | Avi-tag |
| N-terminus | C-terminus |
Purity
Endotoxin Level
N-terminal Sequence Analysis
Predicted Molecular Mass
SDS-PAGE
Activity
Measured by its binding ability in a functional ELISA.
When Human IgG is immobilized at 5 µg/mL (100 µL/well), Biotinylated Recombinant Human Fc gamma RIIIA/CD16a (F176) His-tag Avi-tag (Catalog # AVI8894) binds with an ED50 of 50-300 ng/mL.
Scientific Data Images for Recombinant Human Fc gamma RIIIA (F176) His Avi Protein, CF
Recombinant Human Fc gamma RIIIA (F176) His Avi Protein Binding Activity
When Human IgG is immobilized at 5 µg/mL, Biotinylated Recombinant Human Fc gamma RIIIA/CD16a (F176) His-tag Avi-tag (Catalog # AVI8894) binds with an ED50 of 50-300 ng/mL.Recombinant Human Fc gamma RIIIA (F176) His Avi Protein SDS-PAGE
2 μg/lane of Biotinylated Recombinant Human Fc gamma RIIIA/CD16a (F176) His-tag Avi-tag (Catalog # AVI8894) was resolved with SDS-PAGE under reducing (R) and non-reducing (NR) conditions and visualized by Coomassie® Blue staining, showing bands at 48-57 kDa.Binding of Normal Human IgG to Fc gamma RIIIA (F176) His Avi-tag Protein by surface plasmon resonance (SPR).
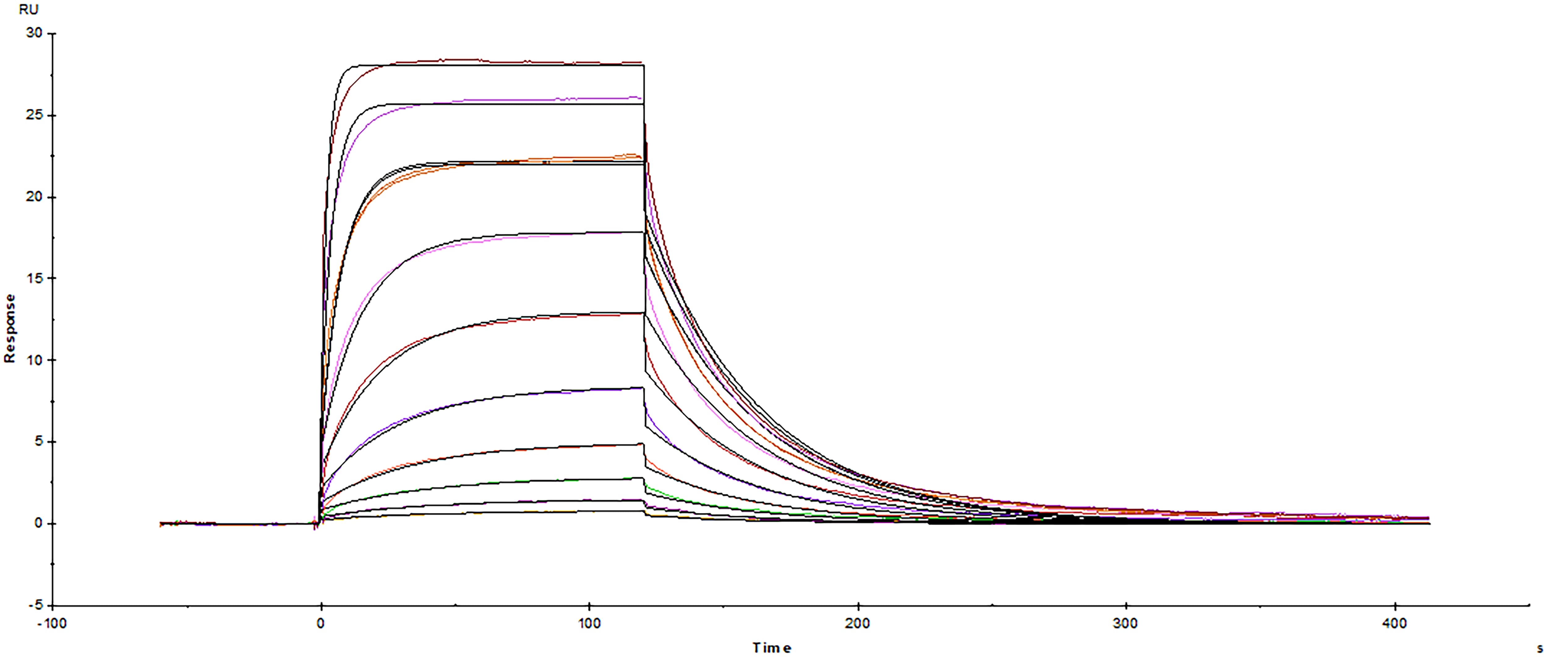
Avi-tag Biotinylated Recombinant Human Fc gamma RIIIA His protein (Catalog # AVI8894) was immobilized on a Biacore Sensor Chip CM5 via the Avi-tag biotin, and binding to Normal Human IgG was measured at a concentration range between 10.4 nM and 6.67 µM. The double-referenced sensorgram was fit to a 1:1 binding model to determine the binding kinetics and affinity, with an affinity constant of KD=0.379 µM.Formulation, Preparation and Storage
AVI8894
| Formulation | Lyophilized from a 0.2 μm filtered solution in PBS with Trehalose. |
| Reconstitution | Reconstitute at 200 μg/mL in PBS. |
| Shipping | The product is shipped at ambient temperature. Upon receipt, store it immediately at the temperature recommended below. |
| Stability & Storage | Use a manual defrost freezer and avoid repeated freeze-thaw cycles.
|
Background: Fc gamma RIIIA/CD16a
Fc gamma RIIIa is a low/intermediate affinity receptor for polyvalent immune-complexed IgG. It is involved in phagocytosis, secretion of enzymes and inflammatory mediators, antibody-dependent cytotoxicity and clearance of immune complexes (1, 2). In humans, it is a 50-70 kDa type I transmembrane activating receptor expressed by NK cells, T cells, monocytes, and macrophages (1). Fc gamma RIIIb is highly related, sharing 97% amino acid (aa) identity within the extracellular domain (ECD), but is a GPI-linked receptor expressed on human neutrophils and eosinophils (1, 2). The ECD of Fc gamma RIIIa shares 63%, 61%, 65%, 59% and 58% aa identity with mouse Fc gamma RIV, rat Fc gamma RIIIa, feline CD16, bovine CD16 and porcine Fc gamma RIIIb paralogs, respectively. The Fc gamma RIIIa cDNA encodes 254 aa including a 16 aa signal sequence, 192 aa ECD with two C2-type Ig-like domains and five potential N-glycosylation sites, a 21 aa transmembrane (TM) sequence and a 25 aa cytoplasmic domain. In humans, a single nucleotide polymorphism creates high binding (V176) and low binding (F176) forms that, when homozygous, may influence susceptibility to autoimmune diseases or response to therapeutic IgG antibodies (3, 4). Catalog # AVI8894 is expressed as the F176 isoform of Fc gamma RIIIa. Fc gamma RIIIa surface expression requires interaction of an accessory chain, either the common gamma-chain or CD3 zeta (5, 6). Glycosylation patterns, electrophoretic mobility and binding affinity appear to differ between NK cell and monocyte Fc gamma RIIIa (7). The ECD of both Fc gamma RIIIa and b can be proteolytically cleaved and retain binding activity in soluble form (8-11). In monocytes and macrophages, activation and phagocytosis can trigger Fc gamma RIIIa release (11). Soluble Fc gamma RIII can be detected in normal plasma and is increased in rheumatoid arthritis and in coronary artery diseases (9, 10).
References
- Nimmerjahn, F. and J.V. Ravetch (2006) Immunity 24:19.
- Ravetch, J.V. and B. Perussia (1989) J. Exp. Med. 170:481.
- Wu, J. et al. (1997) J. Clin. Invest. 100:1059.
- Dall'Ozzo, S. et al. (2004) Cancer Res. 64:4664.
- Kim, M.-K. et al. (2003) Blood 101:4479.
- Lanier, L.L. et al. (1989) Nature 342:803.
- Edberg, J.C. and R.P. Kimberley (1997) J. Immunol. 159:3849.
- Li, P. et al. (2007) J. Biol. Chem. 282:6210.
- Masuda, M. et al. (2003) J. Rheumatol. 30:1911.
- Masuda, M. et al. (2006) Atherosclerosis 188:377.
- Webster, N.L. et al.(2006) J. Leukoc. Biol. 79:294.
Long Name
Alternate Names
Gene Symbol
UniProt
Additional Fc gamma RIIIA/CD16a Products
Product Documents for Recombinant Human Fc gamma RIIIA (F176) His Avi Protein, CF
Product Specific Notices for Recombinant Human Fc gamma RIIIA (F176) His Avi Protein, CF
For research use only