Skip to main content

Recombinant Human CTLA-4 Fc Chimera Avi-tag Protein, CF

R&D Systems, part of Bio-Techne | Catalog # AVI7268

Biotinylated
R&D Systems, part of Bio-Techne
Catalog #
Availability
Size / Price
Qty
Loading...
AVI7268-050

Key Product Details

  • R&D Systems HEK293-derived Recombinant Human CTLA-4 Fc Chimera Avi-tag Protein (AVI7268)
  • Quality control testing to verify active proteins with lot specific assays by in-house scientists
  • All R&D Systems proteins are covered with a 100% guarantee

Source

HEK293

Accession #

Structure / Form

Disulfide-linked homodimer, biotinylated via Avi-tag

Conjugate

Biotin

Applications

Bioactivity

Product Specifications

Source

Human embryonic kidney cell, HEK293-derived human CTLA-4 protein
Human CTLA-4
(Ala37-Phe162)
Accession # P16410.3
IEGRMD Human IgG1
(Pro100-Lys330)
Avi-tag
N-terminus C-terminus

Purity

>95%, by SDS-PAGE visualized with Silver Staining and quantitative densitometry by Coomassie® Blue Staining.

Endotoxin Level

<0.10 EU per 1 μg of the protein by the LAL method.

N-terminal Sequence Analysis

Ala37

Predicted Molecular Mass

42 kDa

SDS-PAGE

53-61 kDa, under reducing conditions

Activity

Measured by its binding ability in a functional ELISA.
When Recombinant Human B7‑1/CD80Fc Chimera (Catalog # 10133-B1) is immobilized at 0.5 µg/mL (100 µL/well), Biotinylated Recombinant Human CTLA-4 Fc Chimera Avi-tag (Catalog # AVI7268) binds with an ED50 of 0.4-2.4 ng/mL.

Scientific Data Images for Recombinant Human CTLA-4 Fc Chimera Avi-tag Protein, CF

Recombinant Human CTLA-4 Fc Chimera Avi-tag Protein Binding Activity

Recombinant Human CTLA-4 Fc Chimera Avi-tag Protein Binding Activity

When Recombinant Human B7-1/CD80 Fc Chimera (Catalog # 10133-B1) is immobilized at 0.5 µg/mL, Biotinylated Recombinant Human CTLA-4 Fc Chimera Avi-tag (Catalog # AVI7268) binds with an ED50 of 0.4-2.4 ng/mL.
Recombinant Human CTLA-4 Fc Chimera Avi-tag Protein SDS-PAGE

Recombinant Human CTLA-4 Fc Chimera Avi-tag Protein SDS-PAGE

2 μg/lane of Biotinylated Recombinant Human CTLA-4 Fc Chimera Avi-tag (Catalog # AVI7268) was resolved with SDS-PAGE under reducing (R) and non-reducing (NR) conditions and visualized by Coomassie® Blue staining, showing bands at 53-61 kDa and 110-120 kDa, respectively.
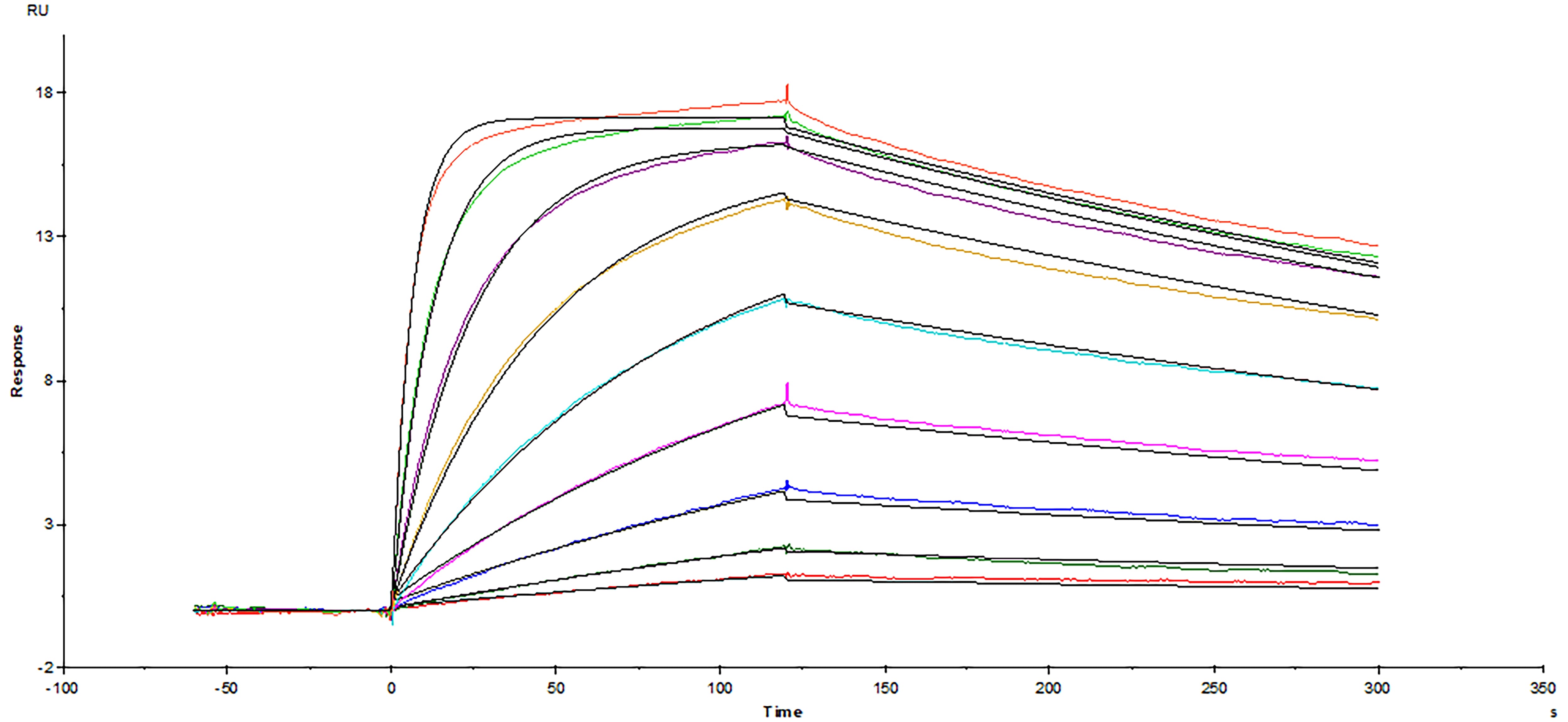
Surface plasmon resonance sensorgram of Avi-tag biotinylated human CTLA-4 protein binding to human B7-1/CD80

Binding of Human B7-1/CD80 to CTLA-4 Fc Avi-tag Protein by surface plasmon resonance (SPR).

Avi-tag Biotinylated Recombinant Human CTLA-4 Fc protein (Catalog # AVI7268) was immobilized on a Biacore Sensor Chip CM5 via the Avi-tag biotin, and binding to Recombinant Human B7-1/CD80 Fc protein (10133-B1) was measured at a concentration range between 82 pM and 21 nM. The double-referenced sensorgram was fit to a 1:1 binding model to determine the binding kinetics and affinity, with an affinity constant of KD=0.2511 nM.

Formulation, Preparation and Storage

AVI7268
Formulation Lyophilized from a 0.2 μm filtered solution in PBS with Trehalose.
Reconstitution Reconstitute at 500 μg/mL in PBS.
Shipping The product is shipped at ambient temperature. Upon receipt, store it immediately at the temperature recommended below.
Stability & Storage Use a manual defrost freezer and avoid repeated freeze-thaw cycles.
  • 12 months from date of receipt, -20 to -70 °C as supplied.
  • 1 month, 2 to 8 °C under sterile conditions after reconstitution.
  • 3 months, -20 to -70 °C under sterile conditions after reconstitution.

Background: CTLA-4

CTLA-4 (cytotoxic T-lymphocyte associated protein‑4, designated CD152), is a type I transmembrane T cell inhibitory molecule that is a member of the Ig superfamily (1, 2). Human or mouse CTLA-4 cDNA encodes 223 amino acids (aa) including a 35 aa signal sequence, a 126 aa extracellular domain (ECD) with one Ig-like V-type domain, a 21 aa transmembrane (TM) sequence, and a 41 aa cytoplasmic sequence. It is found as a covalent homodimer of 41-43 kDa (2) Within the ECD, human CTLA-4 shares 68%, 71% and 83‑86% aa sequence identity with mouse, rat and porcine/bovine/rabbit/feline/canine CTLA-4, respectively. A 174 aa form that lacks TM and cytoplasmic sequences (sCTLA-4) is possibly secreted (3-5). Isoforms of 56-79 aa that mainly contain parts of the cytoplasmic domain are reported. In mouse, an isoform lacking the Ig-like domain has ligand-independent inhibitory activity and is termed liCTLA-4 (6). CD28, which is structurally related to CTLA-4, is constitutively expressed on naïve T cells and promotes T cell activation when engaged by B7-2 on antigen-presenting cells (APC) within the immunological synapse (IS) (1, 7, 8). In contrast, CTLA-4 is recruited from intracellular vesicles to the IS beginning 1-2 days after T cell activation (2, 7, 8). It forms a linear lattice with B7-1 on APC, inducing negative regulatory signals and ending T cell activation (9). Abatacept, a therapeutic human CTLA-4-Ig fusion protein (trade name Orencia), competes with CD28 for B7-1 and B7-2 binding and has been used to antagonize T cell activation in autoimmune conditions and to enhance transplant survival (10). Mice deleted for CTLA-4 show no abnormalities until after birth, but then develop lethal autoimmune reactions due to continued T cell activation and poor control by regulatory T cells, which constitutively express CTLA-4 in wild-type mice and humans (11-13).

References

  1. Harper, K. et al. (1991) J. Immunol. 147:1037.
  2. Teft, W.A. et al. (2006) Annu. Rev. Immunol. 24:65.
  3. Magistrelli, G. et al. (1999) Eur. J. Immunol. 29:3596.
  4. Tector, M. et al. (2009) BMC Immunol. 10:51.
  5. Oaks, M.K. and K.M. Hallett (2000) J. Immunol. 164:5015.
  6. Vijayakrishnan, L. et al. (2004) Immunity 20:563.
  7. Pentcheva-Hoang, T. et al. (2004) Immunity 21:401.
  8. Jansson, A. et al. (2005) J. Immunol 175:1575.
  9. Darlington, P.J. et al. (2005) J. Immunol. 175:996.
  10. Platt, A.M. et al. (2010) J. Immunol. 185:1558.
  11. Wing, K. et al. (2008) Science 322:271.
  12. Friedline, R.H. et al. (2009) J. Exp. Med. 206:421.
  13. Jain, N. et al. (2010) Proc. Natl. Acad. Sci. USA 107:1524.

Long Name

Cytotoxic T-lymphocyte-associated Molecule 4

Alternate Names

CD152, CTLA4

Entrez Gene IDs

1493 (Human); 12477 (Mouse); 403696 (Canine); 102115124 (Cynomolgus Monkey)

Gene Symbol

CTLA4

UniProt

Additional CTLA-4 Products

Product Documents for Recombinant Human CTLA-4 Fc Chimera Avi-tag Protein, CF

Certificate of Analysis

To download a Certificate of Analysis, please enter a lot number in the search box below.

Note: Certificate of Analysis not available for kit components.

Product Specific Notices for Recombinant Human CTLA-4 Fc Chimera Avi-tag Protein, CF

For research use only

Loading...
Loading...
Loading...