Skip to main content

ZEB1 Antibody (HL2245) - Azide and BSA Free

Novus Biologicals, part of Bio-Techne | Catalog # NBP3-25767

Recombinant Monoclonal Antibody
Novus Biologicals, part of Bio-Techne
Catalog #
Availability
Size / Price
Qty
Loading...
NBP3-25767

Key Product Details

Validated by

Knockout/Knockdown, Orthogonal Validation

Species Reactivity

Human, Mouse, Rat

Applications

Immunohistochemistry, Immunohistochemistry-Paraffin, Western Blot, Immunocytochemistry/ Immunofluorescence

Label

Unconjugated

Antibody Source

Recombinant Monoclonal Rabbit IgG Clone # HL2245 expressed in HEK293

Format

Azide and BSA Free

Concentration

Concentrations vary lot to lot. See vial label for concentration. If unlisted please contact technical services.

Product Specifications

Immunogen

Recombinant fragment of human ZEB1.

Clonality

Monoclonal

Host

Rabbit

Isotype

IgG

Theoretical MW

230 kDa.
Disclaimer note: The observed molecular weight of the protein may vary from the listed predicted molecular weight due to post translational modifications, post translation cleavages, relative charges, and other experimental factors.

Description

Novus Biologicals Rabbit ZEB1 Antibody (HL2245) - Azide and BSA Free (NBP3-25767) is a recombinant monoclonal antibody validated for use in IHC, WB and ICC/IF. All Novus Biologicals antibodies are covered by our 100% guarantee.

Scientific Data Images for ZEB1 Antibody (HL2245) - Azide and BSA Free

ZEB1 Antibody (HL2245) - Azide and BSA Free

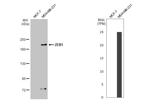
Western Blot: ZEB1 Antibody (HL2245) - Azide and BSA Free [NBP3-25767] -

Western Blot: ZEB1 Antibody (HL2245) - Azide and BSA Free [NBP3-25767] - Various whole cell extracts (30 ug) were separated by 5% SDS-PAGE, and the membrane was blotted with ZEB1 antibody [HL2245] (NBP3-25767) diluted at 1:1000. The HRP-conjugated anti-rabbit IgG antibody was used to detect the primary antibody. Corresponding RNA expression data for the same cell lines are based on Human Protein Atlas program.
ZEB1 Antibody (HL2245) - Azide and BSA Free

Immunocytochemistry/Immunofluorescence: ZEB1 Antibody (HL2245) - Azide and BSA Free [NBP3-25767] -

Immunocytochemistry/Immunofluorescence: ZEB1 Antibody (HL2245) - Azide and BSA Free [NBP3-25767] - ZEB1 antibody [HL2245] detects ZEB1 protein at nucleus by immunofluorescent analysis. Sample: HeLa cells were fixed in 4% paraformaldehyde at RT for 15 min. Green: ZEB1 stained by ZEB1 antibody [HL2245] (NBP3-25767) diluted at 1:500. Red: alpha Tubulin, a cytoskeleton marker, stained by alpha Tubulin antibody [GT114] diluted at 1:1000.
ZEB1 Antibody (HL2245) - Azide and BSA Free

Immunohistochemistry-Paraffin: ZEB1 Antibody (HL2245) - Azide and BSA Free [NBP3-25767] -

Immunohistochemistry-Paraffin: ZEB1 Antibody (HL2245) - Azide and BSA Free [NBP3-25767] - ZEB1 antibody [HL2245] detects ZEB1 protein by immunohistochemical analysis. Sample: Paraffin-embedded rat tissues. ZEB1 stained by ZEB1 antibody [HL2245] (NBP3-25767) diluted at 1:100. Antigen Retrieval: Citrate buffer, pH 6.0, 15 min

Applications for ZEB1 Antibody (HL2245) - Azide and BSA Free

Application
Recommended Usage

Immunocytochemistry/ Immunofluorescence

Assay dependent

Immunohistochemistry

Assay dependent

Immunohistochemistry-Paraffin

Assay dependent

Western Blot

1:500-1:3000

Formulation, Preparation, and Storage

Purification

Protein A purified

Formulation

PBS

Format

Azide and BSA Free

Preservative

No Preservative

Concentration

Concentrations vary lot to lot. See vial label for concentration. If unlisted please contact technical services.

Shipping

The product is shipped with polar packs. Upon receipt, store it immediately at the temperature recommended below.

Stability & Storage

Store at 4C short term. Aliquot and store at -20C long term. Avoid freeze-thaw cycles.

Background: ZEB1

ZEB1 encodes a zinc finger transcription factor that represses T-lymphocyte-specific IL2 gene (MIM 147680) expression by binding to a negative regulatory domain 100 nucleotides 5-prime of the IL2 transcription start site (Williams et al., 1991 [PubMed 1840704]).[supplied by OMIM]

Long Name

Zinc Finger E-box Binding Homeobox 1

Alternate Names

AREB6, BZP, DELTAEF1, FECD6, NIL2A, PPCD3, TCF8, ZFHEP

Gene Symbol

ZEB1

Additional ZEB1 Products

Product Documents for ZEB1 Antibody (HL2245) - Azide and BSA Free

Certificate of Analysis

To download a Certificate of Analysis, please enter a lot number in the search box below.

Product Specific Notices for ZEB1 Antibody (HL2245) - Azide and BSA Free

This product is for research use only and is not approved for use in humans or in clinical diagnosis. Primary Antibodies are guaranteed for 1 year from date of receipt.

Loading...
Loading...
Loading...
Loading...
Loading...