Skip to main content

Human ICOS Antibody

R&D Systems, part of Bio-Techne | Catalog # MAB69753

R&D Systems, part of Bio-Techne

Key Product Details

Species Reactivity

Human

Applications

Blockade of Receptor-ligand Interaction, Flow Cytometry

Label

Unconjugated

Antibody Source

Monoclonal Mouse IgG3 Clone # 669214

Product Specifications

Immunogen

NS0 mouse myeloma cell line transfected with human ICOS and mouse myeloma cell line NS0-derived recombinant human ICOS cocktail
Glu21-Phe141
Accession # Q9Y6W8

Specificity

Detects human ICOS in direct ELISAs.

Clonality

Monoclonal

Host

Mouse

Isotype

IgG3

Scientific Data Images for Human ICOS Antibody

Detection of ICOS antibody in HEK293 Human Cell Line Transfected with Human ICOS antibody by Flow Cytometry.

Detection of ICOS in HEK293 Human Cell Line Transfected with Human ICOS by Flow Cytometry.

HEK293 human embryonic kidney cell line transfected with human ICOS was stained with Mouse Anti-Human ICOS Monoclonal Antibody (Catalog # MAB69753, filled histogram) or isotype control antibody (Catalog # MAB007, open histogram), followed by Phycoerythrin-conjugated Anti-Mouse IgG Secondary Antibody (Catalog # F0102B). View our protocol for Staining Membrane-associated Proteins.
Human B7-H2 Binding to ICOS-transfected HEK293 Human Cell Line is Blocked by Human ICOS Antibody.

Human B7-H2 Binding to ICOS-transfected HEK293 Human Cell Line is Blocked by Human ICOS Antibody.

In a functional Flow Cytometry test, biotinylated recombinant Human B7-H2 (Catalog # 8206-B7, 5 ng/mL) binds to Human ICOS-transfected HEK293 cells (black dotted line). Binding is completely blocked (filled histogram) by 2.5 µg/mL of Mouse Anti-Human ICOS Monoclonal Antibody (Catalog # MAB69753). Mouse IgG3 isotype (Catalog # MAB007) at 2.5 µg/mL was used as a control (blue line). Cells were stained with Sterptavidin-APC (Catalog # F0050).
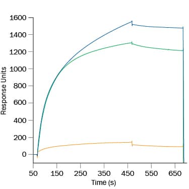
ICOS binding to B7-H2 blocked by Human ICOS Antibody.

ICOS binding to B7-H2 blocked by Human ICOS Antibody.

In a Surface Plasmon Resonance test, Recombinant Human B7-H2 (Catalog # 8206-B7) coated at 30 ug/mL binds to Recombinant Human B7-H7 (Catalog # 8084-B7, 25 µg/mL (green line). Binding is completely blocked (orange line) by 50 µg/mL of Mouse Anti-Human ICOS Monoclonal Antibody (Catalog # MAB69753). Non-blocking anti-ICOS antibody (Clone 669244) was used as control and did not affect ICOS binding to B7-H2 (blue line).

Applications for Human ICOS Antibody

Application
Recommended Usage

Blockade of Receptor-ligand Interaction

In a functional Flow Cytometry test, 2.5 μg/mL of Mouse Anti-Human ICOS Monoclonal Antibody completely blocks binding of biotinylated recombinant Human B7-H2 (Catalog # 8206-B7) to Human ICOS-transfected HEK293 cells

Flow Cytometry

0.25 µg/106 cells
Sample: HEK293 human embryonic kidney cell line transfected with human ICOS

Formulation, Preparation, and Storage

Purification

Protein A or G purified from hybridoma culture supernatant

Reconstitution

Reconstitute at 0.5 mg/mL in sterile PBS. For liquid material, refer to CoA for concentration.

Reconstitution Buffer Available:
Size / Price
Qty
Loading...

Formulation

Lyophilized from a 0.2 μm filtered solution in PBS and NaCl with Trehalose. *Small pack size (SP) is supplied either lyophilized or as a 0.2 µm filtered solution in PBS.

Shipping

Lyophilized product is shipped at ambient temperature. Liquid small pack size (-SP) is shipped with polar packs. Upon receipt, store immediately at the temperature recommended below.

Stability & Storage

Use a manual defrost freezer and avoid repeated freeze-thaw cycles.
  • 12 months from date of receipt, -20 to -70 °C as supplied.
  • 1 month, 2 to 8 °C under sterile conditions after reconstitution.
  • 6 months, -20 to -70 °C under sterile conditions after reconstitution.

Background: ICOS

Inducible costimulator (ICOS), also called AILIM (activiation-inducible lymphocyte immunomediatory molecule) and CRP-1 (CD28-related protein-1), is a member of the growing CD28 family of immune costimulatory receptors. Other family members are CD28, CTLA-4, and PD-1. Human ICOS is a homodimeric type I transmembrane protein consisting of 199 amino acids (aa) with a putative 20 aa signal sequence, a 121 aa extracellular domain, a 23 aa transmembrane region, and a 35 aa cytoplasmic domain. ICOS shares approximately 39% amino acid similarity with CD28 and CTLA-4. Human and mouse ICOS share approximately 72% amino acid identity. ICOS is expressed on most CD45RO+ cells. ICOS expression is up-regulated within approximately 24-48 hours of activation on Th primed cells. B7-H2, a member of the B7 family of costimulatory ligands, has been identified as the ICOS ligand. The B7-H2/ICOS interaction appears to play roles in T cell dependent B cell activation and Th differentiation.

References

  1. Aicher, A. et al. (2000) J. Immunol. 164:4689.
  2. Coyle, A.J. et al. (2000) Immunity 13:95.
  3. Coyle, A.J. and J.C. Gutierrez-Ramos (2001) Nat. Immunol. 2:203.
  4. Gonzalo, J.A. et al. (2001) J. Immunol. 166:1.
  5. Hutloff, A. et al. (1999) Nature 397:263.
  6. Mages, H.W. et al. (2000) Eur. J. Immunol. 30:1040.
  7. Yoshinaga, S.K. et al. (1999) Nature 402:827.

Long Name

Inducible Co-stimulator

Alternate Names

AILIM, CD278, CRP-1

Entrez Gene IDs

29851 (Human); 54167 (Mouse); 102116512 (Cynomolgus Monkey)

Gene Symbol

ICOS

UniProt

Additional ICOS Products

Product Documents for Human ICOS Antibody

Certificate of Analysis

To download a Certificate of Analysis, please enter a lot number in the search box below.

Note: Certificate of Analysis not available for kit components.

Product Specific Notices for Human ICOS Antibody

For research use only

Loading...
Loading...
Loading...
Loading...
Loading...