Nitric Oxide Assay Kit (Colorimetric)
Novus Biologicals, part of Bio-Techne | Catalog # NBP3-24525
Key Product Details
Sample Type & Volume Required Per Well
Serum, plasma, tissue and saliva
Sensitivity
0.16 umol/L
Assay Range
0.16 - 100 umol/L
Product Specifications
Kit Type
Assay Kit (Colorimetric)
Reactivity
Non-species specific
Description
Detection instrument: Microplate reader (540 - 550 nm)
Assay time: 55 min
Assay time: 55 min
Precision
Intra-Assay Precision (Precision within an assay) %CV < 2.4
Inter-Assay Precision (Precision between assays) %CV < 3.7
Recovery for Nitric Oxide Assay Kit (Colorimetric)
Recovery
Average recovery rate: 102%
Scientific Data Images for Nitric Oxide Assay Kit (Colorimetric)
Nitric Oxide Assay Kit (Colorimetric) [NBP3-24525] -
Nitric Oxide Assay Kit (Colorimetric) [NBP3-24525] - Standard Reference CurveNitric Oxide Assay Kit (Colorimetric) [NBP3-24525] -
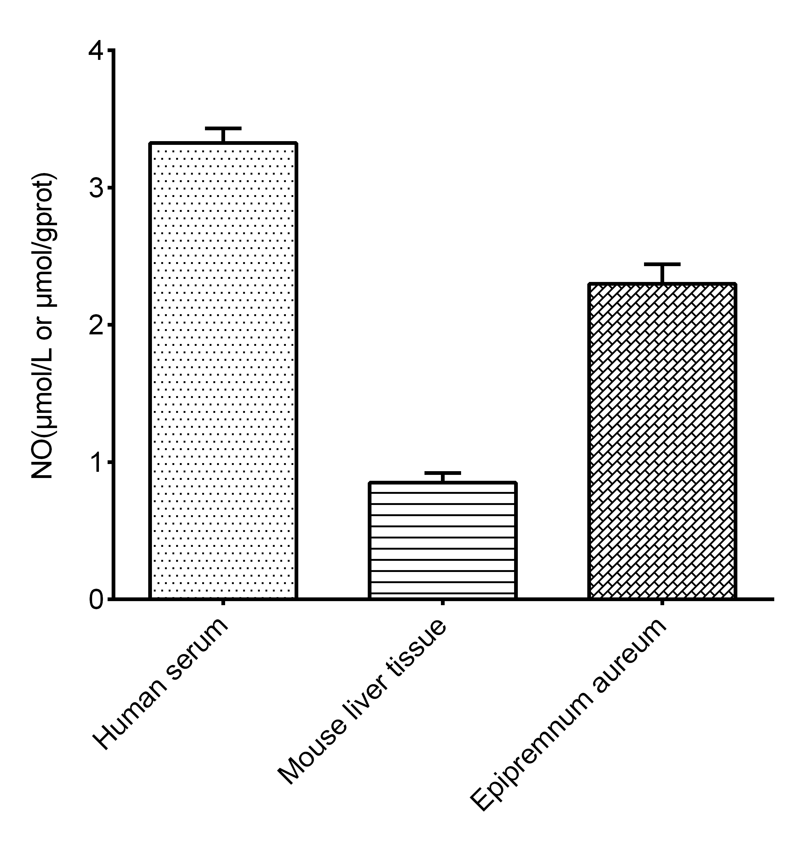
Nitric Oxide Assay Kit (Colorimetric) [NBP3-24525] - Assay ExampleKit Contents for Nitric Oxide Assay Kit (Colorimetric)
- Microplate
- Plate Sealer
- Reagent 1: Sulphate Solution
- Reagent 2: Alkali Reagent
- Reagent 3: Chromogenic Agent A
- Reagent 4: Chromogenic Agent B
- Reagent 5: Acid Solution
- Reagent 6: Sodium Nitrite Standard
Preparation and Storage
Shipping
The product is shipped with polar packs. Upon receipt, store it immediately at the temperature recommended below.
Stability & Storage
Storage of components varies. See protocol for specific instructions.
Background: Nitric Oxide
Additional Nitric Oxide Products
Product Documents for Nitric Oxide Assay Kit (Colorimetric)
Product Specific Notices for Nitric Oxide Assay Kit (Colorimetric)
This product is for research use only and is not approved for use in humans or in clinical diagnosis. Kits are guaranteed for 6 months from date of receipt.
Loading...
Loading...
Loading...