Skip to main content

Lactate Dehydrogenase Activity Assay Kit (Colorimetric)

Novus Biologicals, part of Bio-Techne | Catalog # NBP3-24510

Novus Biologicals, part of Bio-Techne
Catalog #
Availability
Size / Price
Qty
Loading...
NBP3-24510

Key Product Details

Sample Type & Volume Required Per Well

Serum, plasma, hydrothorax, tissue and cell samples

Sensitivity

6 U/L

Assay Range

6 - 500 U/L

Product Specifications

Kit Type

Activity Assay Kit (Colorimetric)

Reactivity

Non-species specific

Description

Detection instrument: Microplate reader (440 - 460 nm, optimum wavelength: 450 nm)
Assay time: 45 min

Precision

Intra-Assay Precision (Precision within an assay) %CV < 1.8

Inter-Assay Precision (Precision between assays) %CV < 2.4

Recovery for Lactate Dehydrogenase Activity Assay Kit (Colorimetric)

Recovery

Average recovery rate: 98%

Scientific Data Images for Lactate Dehydrogenase Activity Assay Kit (Colorimetric)

Lactate Dehydrogenase Activity Assay Kit (Colorimetric)

Lactate Dehydrogenase Activity Assay Kit (Colorimetric) [NBP3-24510] -

Lactate Dehydrogenase Activity Assay Kit (Colorimetric) [NBP3-24510] - Standard Reference Curve
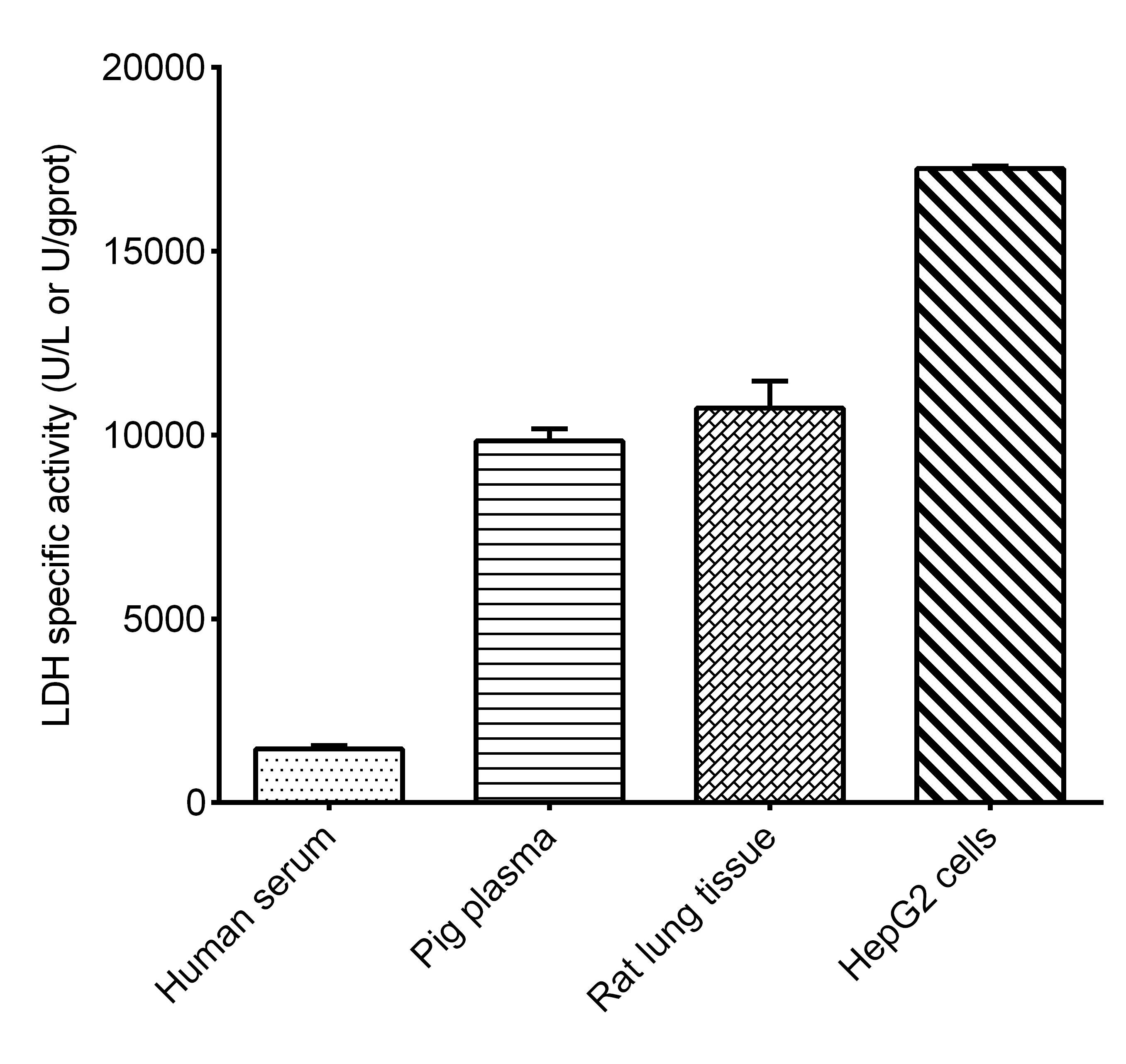
Lactate Dehydrogenase Activity Assay Kit (Colorimetric)

Lactate Dehydrogenase Activity Assay Kit (Colorimetric) [NBP3-24510] -

Lactate Dehydrogenase Activity Assay Kit (Colorimetric) [NBP3-24510] - Assay Example

Kit Contents for Lactate Dehydrogenase Activity Assay Kit (Colorimetric)

  • Microplate
  • Plate Sealer
  • Reagent 1: Substrate Buffer
  • Reagent 2: Coenzyme I
  • Reagent 3: Chromogenic Agent
  • Reagent 4: Alkali Reagent
  • Reagent 5: 2 umol/mL Pyruvic Acid Standard

Preparation and Storage

Shipping

The product is shipped with polar packs. Upon receipt, store it immediately at the temperature recommended below.

Stability & Storage

Storage of components varies. See protocol for specific instructions.

Background: Lactate Dehydrogenase

Lactate dehydrogenase is also known as L-lactate dehydrogenase A chain, LDHA, LDH muscle subunit and LDH-M. Two isozymes of LDH occur in mammals, LDH-M and LDH-H which come together to form a homotetramer of 36 kDa subunits. Every LDH molecule consists of four subunits, where each subunit is either H or M (based on their electrophoretic properties.) There are, therefore, five LDH isotypes: LDH-1 (4H) -in the heart, LDH-2 (3H1M) -in the reticuloendothelial system, LDH-3 (2H2M) -in the lungs, LDH-4 (1H3M) -in the kidneys and LDH-5 (4M) -in the liver and striated muscle. Usually LDH-2 is the predominant form in the serum. An LDH-1 level higher than the LDH-2 level (a "flipped pattern") suggests myocardial infarction (damage to heart tissues releases heart LDH, which is rich in LDH-1, into the bloodstream). In general, LDH is often used as a marker of tissue breakdown. LDH shows a cytoplasmic localization.

Alternate Names

EC 1.1.1, EC 1.1.1.27, lactate dehydrogenase B, LDH heart subunit, LDH-B, LDH-H, L-lactate dehydrogenase B chain, Renal carcinoma antigen NY-REN-46, TRG-5

Gene Symbol

LDHB

Additional Lactate Dehydrogenase Products

Product Documents for Lactate Dehydrogenase Activity Assay Kit (Colorimetric)

Certificate of Analysis

To download a Certificate of Analysis, please enter a lot number in the search box below.

Product Specific Notices for Lactate Dehydrogenase Activity Assay Kit (Colorimetric)

This product is for research use only and is not approved for use in humans or in clinical diagnosis. Kits are guaranteed for 6 months from date of receipt.

Loading...
Loading...
Loading...